Главная Случайная страница


Полезное:

Как сделать разговор полезным и приятным Как сделать объемную звезду своими руками Как сделать то, что делать не хочется? Как сделать погремушку Как сделать так чтобы женщины сами знакомились с вами Как сделать идею коммерческой Как сделать хорошую растяжку ног? Как сделать наш разум здоровым? Как сделать, чтобы люди обманывали меньше Вопрос 4. Как сделать так, чтобы вас уважали и ценили? Как сделать лучше себе и другим людям Как сделать свидание интересным?


Категории:

АрхитектураАстрономияБиологияГеографияГеологияИнформатикаИскусствоИсторияКулинарияКультураМаркетингМатематикаМедицинаМенеджментОхрана трудаПравоПроизводствоПсихологияРелигияСоциологияСпортТехникаФизикаФилософияХимияЭкологияЭкономикаЭлектроника






Определение ускорений точек звеньев плоских механизмов





Решение задачи начинается с исследования ведущего звена, то есть звена, движение которого задано. Затем рассматривается движение звена, связанного с ведущим. Далее одно за другим рассматриваются остальные звенья механизма.

При решении этих задач необходимо уметь находить связь между ускорениями точек двух соединенных между собой звеньев механизма. Рассмотрим два основных способа соединения звеньев в плоских механизмах.

1. Соединения звеньев в различного вида фрикционных и зубчатых передачах (рис. 3.29), а также в передачах с гибкой нерастяжимой нитью (рис. 3.30).

Рис. 3.29 Рис. 3.30

В соединениях этого способа происходит касание двух звеньев (касание зубчатой рейки 1 и колеса 2 на рис. 3.29, касание гибкой нити 1 и блока 2 на рис. 3.30). В месте касания совмещаются точки, принадлежащие разным звеньям. Хотя траектории совмещающихся точек различны, но у них общая касательная. При отсутствии проскальзывания звеньев указанные точки имеют одинаковые касательные ускорения (; ). Нормальные же ускорения точек не равны между собой, так как точки движутся по различным траекториям.

2. Соединения звеньев с помощью шарниров (шарнир А на рис. 3.31 и 3.32).

Рис. 3.31 Рис. 3.32

В шарнирных соединениях звеньев центр шарнира принадлежит одновременно двум звеньям. Вследствие этого, например, ускорение точки А на рис. 3.31, определенное для вращающегося кривошипа ОА, будет таким же как и ускорение точки А колеса 1, совершающего плоскопараллельное движение. Аналогичные рассуждения для точки А механизма на рис. 3.32.

Отметим некоторые особенности при выборе полюса. Если звено АВ механизма, совершающего плоскопараллельное движение, присоединено к ведущему звену ОА шарниром А (рис. 3.31, 3.32), то за полюс звена АВ следует взять центр шарнира А, ускорение которого можно определить при решении задачи об ускорениях звена ОА.

Звено механизма, соединенное с ведущим звеном первым способом (рис. 3.29, 3.30), является обычно колесом (или блоком). В этом случае за полюс следует выбирать центр колеса (или блока), ускорение которого можно найти до решения основного векторного уравнения типа (3.10). Покажем это на примере механизмов, изображенных на рис. 3.29 и 3.30.

В механизме на рис. 3.29 ведущим звеном является подвижная рейка 1, ее скорость` V1 и ускорение` а 1 известны (рис. 3.33). Скорости точек А1 и А2 одинаковы:` VA2 =` VA1 =` V1. Учитывая, что мгновенный центр скоростей колеса 2 находится в точке P, найдем

,

или

.

Рис. 3.33 Рис. 3.34

Эта формула справедлива для любого момента времени, поэтому дифференцируя ее по времени, будем иметь

.

Но , так как точка O движется по прямой и ее полное ускорение равно касательному ускорению.

Окончательно .

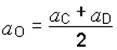
В механизме на рис. 3.30 и 3.34 ведущими звеньями являются грузы С и D, их скорости` VC и` VD и ускорения` a C, ` a D известны. Согласно п. 3.1.4 мгновенный центр скоростей блока 2 находится в точке P на пересечении прямой AB и прямой, соединяющей концы векторов` VA и` VB. (Напомним, что VA = VC; VB = VD). Скорость центра O блока найдется по формуле

.

Полученная формула справедлива для любого момента времени. Поэтому, дифференцируя ее по времени, найдем

.

Рекомендуется следующая последовательность решения задачи определения ускорений плоских механизмов.

1. Изобразить на рисунке механизм в заданном положении.

2. Начиная с ведущего звена, решить задачу о скоростях, главной целью которой является определение угловых скоростей всех звеньев механизма.

3. Решить задачу определения ускорений точек ведущего звена механизма; найти ускорение точки ведущего звена, в которой к нему присоединяется второе звено механизма.

  1. Решить задачу определения ускорений точек второго и затем всех последующих звеньев механизма.






Date: 2015-09-18; view: 708; Нарушение авторских прав



mydocx.ru - 2015-2026 year. (0.422 sec.) Все материалы представленные на сайте исключительно с целью ознакомления читателями и не преследуют коммерческих целей или нарушение авторских прав - Пожаловаться на публикацию