Главная Случайная страница


Полезное:

Как сделать разговор полезным и приятным Как сделать объемную звезду своими руками Как сделать то, что делать не хочется? Как сделать погремушку Как сделать так чтобы женщины сами знакомились с вами Как сделать идею коммерческой Как сделать хорошую растяжку ног? Как сделать наш разум здоровым? Как сделать, чтобы люди обманывали меньше Вопрос 4. Как сделать так, чтобы вас уважали и ценили? Как сделать лучше себе и другим людям Как сделать свидание интересным?


Категории:

АрхитектураАстрономияБиологияГеографияГеологияИнформатикаИскусствоИсторияКулинарияКультураМаркетингМатематикаМедицинаМенеджментОхрана трудаПравоПроизводствоПсихологияРелигияСоциологияСпортТехникаФизикаФилософияХимияЭкологияЭкономикаЭлектроника






Метод, основанный на использовании мгновенного центра ускорений





Мгновенным центром ускорений называется точка плоской фигуры, ускорение которой в данный момент времени равно нулю, этот центр обозначается буквой Q.

Ускорения точек плоской фигуры в каждый момент времени распределены так, как если бы эта фигура поворачивалась вокруг мгновенного центра ускорений. Для точки М (рис. 3.25) будем иметь

; (3.13)

. (3.14)

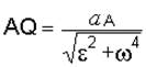
Чтобы найти положение мгновенного центра ускорений, надо знать ускорение полюса А, угловую скорость w и угловое ускорение e фигуры. Вектор ускорения полюса` а А нужно повернуть в направлении дуговой стрелки e (рис. 3.26) на угол m, определяемый формулой (3.14); затем на полученном луче Ах надо отложить отрезок АQ, равный

. (3.15)

Конец этого отрезка (точка Q) есть мгновенный центр ускорений.

Рис. 3.25 Рис. 3.26

Если по условию задачи ускорение какой-нибудь точки тела равно нулю, то эта точка есть мгновенный центр ускорений. Например, для колеса, у которого центр движется равномерно и прямолинейно, мгновенный центр ускорений совпадает с центром колеса.

Задачу об определении ускорений рекомендуется решать в такой последовательности.

1. Определить положение мгновенного центра ускорений рассмотренным выше способом.

2. Вычислить модуль искомого ускорения по формуле (3.13).

3. Определить угол m по формуле (3.14) и под этим углом к направлению MQ (рис. 3.25) отложить вектор искомого ускорения.







Date: 2015-09-18; view: 450; Нарушение авторских прав



mydocx.ru - 2015-2026 year. (0.323 sec.) Все материалы представленные на сайте исключительно с целью ознакомления читателями и не преследуют коммерческих целей или нарушение авторских прав - Пожаловаться на публикацию