Главная Случайная страница


Полезное:

Как сделать разговор полезным и приятным Как сделать объемную звезду своими руками Как сделать то, что делать не хочется? Как сделать погремушку Как сделать так чтобы женщины сами знакомились с вами Как сделать идею коммерческой Как сделать хорошую растяжку ног? Как сделать наш разум здоровым? Как сделать, чтобы люди обманывали меньше Вопрос 4. Как сделать так, чтобы вас уважали и ценили? Как сделать лучше себе и другим людям Как сделать свидание интересным?


Категории:

АрхитектураАстрономияБиологияГеографияГеологияИнформатикаИскусствоИсторияКулинарияКультураМаркетингМатематикаМедицинаМенеджментОхрана трудаПравоПроизводствоПсихологияРелигияСоциологияСпортТехникаФизикаФилософияХимияЭкологияЭкономикаЭлектроника






Задача 3.12 (19)





Рис. 3.27. Квадратная пластинка (рис. 3.27) размером 1 x1 м движется в плоскости рисунка. Ускорение вершины А в данный момент времени равно м/с2, угловая скорость пластинки w = 1 1/с, угловое ускорение e = 1 1/с2. Построить мгновенный центр ускорений и определить ускорение вершины В.

Решение

Для построения мгновенного центра ускорений определим угол m по формуле (3.14)

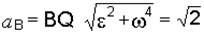
и расстояние AQ по формуле (3.15)

м.

Рис. 3.28. Повернем вектор` а А в сторону дуговой стрелки e на угол m (рис. 3.28) и на направлении Ах отложим отрезок AQ, равный 1 м. Получим, что мгновенный центр ускорений Q находится в правой верхней вершине квадрата. Модуль ускорения точки В определим по формуле (3.13) м/с2.

Направлено ускорение точки В под углом m = 45° к отрезку ВQ, т.е.` а В направлено по диагонали ВА квадрата.

Рассмотренный способ решения задачи имеет ограниченное применение из-за трудностей определения положения мгновенного центра ускорений. Чаще всего задача определения ускорений решается методом, основанным на использовании векторного уравнения (см. п. 3.2.2).







Date: 2015-09-18; view: 461; Нарушение авторских прав



mydocx.ru - 2015-2026 year. (1.302 sec.) Все материалы представленные на сайте исключительно с целью ознакомления читателями и не преследуют коммерческих целей или нарушение авторских прав - Пожаловаться на публикацию