Главная Случайная страница


Полезное:

Как сделать разговор полезным и приятным Как сделать объемную звезду своими руками Как сделать то, что делать не хочется? Как сделать погремушку Как сделать так чтобы женщины сами знакомились с вами Как сделать идею коммерческой Как сделать хорошую растяжку ног? Как сделать наш разум здоровым? Как сделать, чтобы люди обманывали меньше Вопрос 4. Как сделать так, чтобы вас уважали и ценили? Как сделать лучше себе и другим людям Как сделать свидание интересным?


Категории:

АрхитектураАстрономияБиологияГеографияГеологияИнформатикаИскусствоИсторияКулинарияКультураМаркетингМатематикаМедицинаМенеджментОхрана трудаПравоПроизводствоПсихологияРелигияСоциологияСпортТехникаФизикаФилософияХимияЭкологияЭкономикаЭлектроника






Общее уравнение динамики





Принцип возможных перемещений даёт общий метод решения задач статики. С другой стороны, принцип Даламбера позволяет использовать методы статики для решения задач динамики. Следовательно, применяя эти два принципа одновременно, мы можем получить общий метод решения задач динамики.

Рассмотрим систему материальных точек, на которую наложены идеальные связи. Если ко всем точкам системы, кроме действующих на них активных сил и реакций связей , прибавить соответствующие силы инерции , то, согласно принципу Даламбера, полученная система сил будет находиться в равновесии. Тогда, применив к этим силам принцип возможных перемещений, получим

. (11.1)

Но последняя сумма по условию (10.1) равна нулю и окончательно будет иметь вид:

. (11.2)

Из полученного результата вытекает следующий принцип Даламбера – Лагранжа: при движении механической системы с идеальными связями в каждый момент времени сумма элементарных работ всех приложенных активных сил и всех сил инерции на любом возможном перемещении системы будет равна нулю.

Уравнение (11.2), выражающее этот принцип, называют общим уравнением динамики. В аналитической форме уравнение (11.2) имеет вид:

. (11.3)

Уравнения (11.2) или (11.3) позволяют составить дифференциальные уравнения движения механической системы.

Если при этом система представляет собой совокупность каких-нибудь твёрдых тел, то для составления уравнений нужно к действующим на каждое тело активным силам прибавить приложенную в любом центре силу, равную главному вектору сил инерции, и пару с моментом, равным главному моменту сил инерции относительно этого центра (или одну из этих величин), а затем применить принцип возможных перемещений.

Пример 8. В подъёмнике, изображённом на рис. 39, к шестерне 1, имеющей вес Р 1 и радиус инерции относительно её оси , приложен вращающий момент М. Определить ускорение поднимаемого груза 3 весом Q, пренебрегая весом верёвки и трением в осях. Барабан, на который наматывается верёвка, жёстко скреплён с другой шестернёй; их общий вес равен Р 2, а радиус инерции относительно оси вращения . Радиусы шестерён равны соответственно r 1 и r 2, а радиус барабана r.

Рис. 39

Решение. Изобразим действующую на систему активную силу и вращающий момент М (силы и работы не совершают); присоединяем к ним силу инерции груза и пары с моментами и , к которым приводятся силы инерции вращающихся тел. Эти величины по модулю равны:

,

,

.

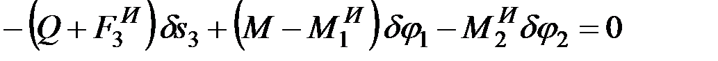
Направления всех величин показаны на чертеже. Сообщая системе возможное перемещение и составив уравнение (11.3), получим

.

Выразив все перемещения через , найдём, что

,

,

откуда

.

Окончательно уравнение движения примет вид:

.

Входящие сюда величины и выразим через искомое ускорение а 3. Учитывая, что , связаны между собой так же, как и , , получим:

,

.

В результате найдём окончательно

.

Контрольные вопросы и задания

1. Что называется возможным перемещением механической системы?

2. Чем отличается возможное перемещение движущейся точки от её действительного перемещения?

3. Что называется числом степени свободы механической системы?

4. Дайте определение возможной работы.

5. Какие связи называют идеальными?

6. Сформулируйте принцип возможных перемещений для механической системы.

7. Изложите последовательность решения задачи с использованием принципа возможных перемещений геометрическим методом.

8. В чем состоит особенность решения задачи аналитическим методом?

9. В чем состоит принцип Даламбера–Лагранжа?

10. Какое значение имеет общее уравнение динамики при решении практических задач?








Date: 2015-09-03; view: 686; Нарушение авторских прав



mydocx.ru - 2015-2026 year. (1.361 sec.) Все материалы представленные на сайте исключительно с целью ознакомления читателями и не преследуют коммерческих целей или нарушение авторских прав - Пожаловаться на публикацию