Главная Случайная страница


Полезное:

Как сделать разговор полезным и приятным Как сделать объемную звезду своими руками Как сделать то, что делать не хочется? Как сделать погремушку Как сделать так чтобы женщины сами знакомились с вами Как сделать идею коммерческой Как сделать хорошую растяжку ног? Как сделать наш разум здоровым? Как сделать, чтобы люди обманывали меньше Вопрос 4. Как сделать так, чтобы вас уважали и ценили? Как сделать лучше себе и другим людям Как сделать свидание интересным?


Категории:

АрхитектураАстрономияБиологияГеографияГеологияИнформатикаИскусствоИсторияКулинарияКультураМаркетингМатематикаМедицинаМенеджментОхрана трудаПравоПроизводствоПсихологияРелигияСоциологияСпортТехникаФизикаФилософияХимияЭкологияЭкономикаЭлектроника






Изотермическое движение идеального газа в горизонтальном трубопроводе





Основная задача - установить закономерность падения давления по длине трубопровода и получить зависимость массо­вого расхода газа от начального и конечного давлений.

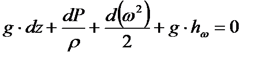
Для рассматриваемого случая исходными являются: уравне­ния Бернулли в механической форме

(9.1)

уравнение неразрывности (расхода)

(9.2)

уравнение состояния

(9.3)

уравнение термодинамического процесса

(9.4)

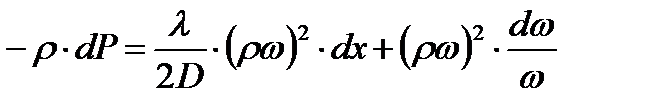
Потери напора на гидравлические сопротивления распишем по формуле Дарси-Вейсбаха

(9.5)

где - коэффициент гидравлических сопротивлений по длине газопровода; - элемент длины газопровода; - внутренний диаметр труб.

Покажем, что для изотермического движения газа является константой. Известно, что в общем случае . Т.к. относительная шероховатость душ заданного трубопровода имеет конкретное значение, то . Но число , определяемое по формуле

(9.6)

практически не изменяется по длине газопровода. Действитель­но, для рассматриваемого случая , а динамическая вязкость газа в диапазоне давлений до 10 МПа практи­чески зависит только от температуры (а ).

Решая (9.1) относительно , получим с учетом (9.5)

(9.7)

Из этого уравнения видно, что падение давления в газо­проводе складывается из потерь давления на трение, на подъем газа по вертикали и на изменение кинетической энер­гии. Для случая горизонтальных труб dz = 0. Преобразуем уравнение (9.7) к виду удобному для интегрирования. Для этого умножим обе части уравнения на и воспользуемся преобразованием

(9.8)

Тогда получим

(9.9)

которое можно представить еще иначе, если воспользоваться равенством (9.4)

(9.10)

Интегрирование (9.10) дает

(9.11)

где С - константа интегрирования, которая находится из граничных условий. Например, если известны параметры в на­чале трубопровода , то

Тогда уравнение (9.11) примет вид

(9.12)

которое представляет собой закон распределение давления по длине трубопровода. В частном случае, когда известно давле­ние в конце газопровода , имеем

(9.13)

но, согласно (9.2) - (9.4)

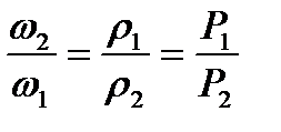
(9.14)

Решая (9.13) относительно массовой скорости , с учетом (9.14), получим

Тогда искомое выражение для массового расхода примет вид

(9.15)

Можно показать, что для магистральных газопроводов справедливо неравенство

(9.16)

Тогда, пренебрегая в выражении (9.15) членом получим окончательно

(9.17)

Формулой (9.17) пользуются при газодинамическом рас­чете изотермических газопроводов. Причем для вычисления коэффициента гидравлического сопротивления по длине газопровода можно пользоваться известными формулами Альтшуля, Никурадзе и т.д.

С учетом проведенной оценки (9.16) выражение (9.1) примет вид

(9.18)

Из (9.17) имеем

тогда, с учетом этого равенства, закон распределения давле­ния по длине газопровода (9.18) примет более простой вид

(9.19)

Зависимость по формуле (9.19) можно предста­вить графически в координатах (рис. 9.1) и в координатах (рис. 9.2). Таким образом, соглас­но (9.19) давление по длине газопровода падает по парабо­лическому закону.

 

 


Рис. 9.1 График падения давления по длине газопровода

Рис. 9.2 Зависимость падения квадрата давления по длине газопровода








Date: 2015-08-15; view: 926; Нарушение авторских прав



mydocx.ru - 2015-2026 year. (1.134 sec.) Все материалы представленные на сайте исключительно с целью ознакомления читателями и не преследуют коммерческих целей или нарушение авторских прав - Пожаловаться на публикацию