Главная Случайная страница


Полезное:

Как сделать разговор полезным и приятным Как сделать объемную звезду своими руками Как сделать то, что делать не хочется? Как сделать погремушку Как сделать так чтобы женщины сами знакомились с вами Как сделать идею коммерческой Как сделать хорошую растяжку ног? Как сделать наш разум здоровым? Как сделать, чтобы люди обманывали меньше Вопрос 4. Как сделать так, чтобы вас уважали и ценили? Как сделать лучше себе и другим людям Как сделать свидание интересным?


Категории:

АрхитектураАстрономияБиологияГеографияГеологияИнформатикаИскусствоИсторияКулинарияКультураМаркетингМатематикаМедицинаМенеджментОхрана трудаПравоПроизводствоПсихологияРелигияСоциологияСпортТехникаФизикаФилософияХимияЭкологияЭкономикаЭлектроника






Скорость распространения волн сжатия





В ряде случаев течения газа со сверхзвуковыми скоростя­ми ( и ) сопровождаются появлением ударных волн, вызывающих значительное сопротивление. Такое сопротивление часто называют волновым.

Многочисленные эксперименты показали, что всякое повы­шение давления, которое возникло в каком-либо месте газовой среды, распространяется в ней с большой скоростью в виде волн давления. Слабые волны давления (характеризуемые малым повышением давления) движутся со скоростью звука. Сальные волны давления распространяются со скоростью, значительно превышающими скорость звука.

Одно из основных свойств сильных волн давления (удар­ных волн) заключается в том, что фронт волны очень узок (т.е. толщина этой волны бесконечно мала). Поэтому часто такую волну представляют как некоторую поверхность (как бы с двойным слоем), при пересечении которой параметры движу­щегося газа меняются скачкообразно.

Найдем скорость распространения волн сжатия. Для этого представим себе (рис. 8.1), что в трубе постоянного сечения возникла и распространяется слева направо волна сжа­тия. Это может произойти, например, в результате мгновенного смещения поршня или взрыва. Пусть в момент времени фронт волны сжатия совпадает с сечением 1-1. За бесконечно малый промежуток времени фронт волны переместился на расстоя­ние .

 

Рис. 8.1. К выводу скорости рас­пространения волн сжа­тия

 

Это означает, что в области 1-Н за время произошло повы­шение давления от величины (давление невозмущенного газа) до величины (давление за фронтом сжатия). В соответствии с этим в области 1-Н произошло увеличение плот­ности газа на величину

Увеличение плотности возможно только благодаря увели­чению массы газа в указанной области 1-Н на величину

(8.1)

Увеличение массы произошло вследствие перетока газа из объема 0-1 в объем 1-Н со скоростью . Эту массу га­за можно вычислить через как

(8.2)

Тогда, приравнивая выражения (8.1) и (8.2), полу­чим

(8.3)

Выражение представляет собой скорость движения волны , т.е.

(8.4)

Тогда равенство (8.3) примет вид

(8.5)

которое связывает скорость распространения волны со скоростью газа, движущегося за фронтом волны в том же самом направлении.

Выразим скорость распространения волны только через параметры и в возмущенной (с индексом 1) и невозмущенной областях (с индексом Н). Для этого восполь­зуемся уравнением изменения количества движения для массы газа в объеме 1-Н, находящейся в покое в мо­мент времени . За время эта масса приходит в движение со скоростью .

Изменение количества движения рассматриваемой массы газа должно быть равно импульсу силы, вызванной разностью давлений в сечениях 1-1 и Н-Н. В проекции на ось потока это уравнение имеет вид

,

отсюда с учетом (8.4) имеем

(8.6)

Подставляя значение по формуле (8.6) в вы­ражение (8.5), получим

(8.7)

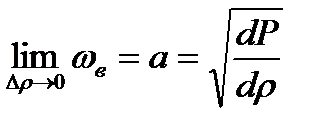
В случае слабой волны возмущения, повышение давления и плотности незначительно, т.е. и . При­ходя к пределу в (8.7) при , получим скорость распространения малых возмущений, т.е. скорость акустической волны (или скорость звука)

(8.8)

Подставляя (8.7) в (8.5), получим выражение для скорости газового потока за фронтом волны сжатия

(8.9)







Date: 2015-08-15; view: 701; Нарушение авторских прав



mydocx.ru - 2015-2026 year. (2.596 sec.) Все материалы представленные на сайте исключительно с целью ознакомления читателями и не преследуют коммерческих целей или нарушение авторских прав - Пожаловаться на публикацию