Главная Случайная страница


Полезное:

Как сделать разговор полезным и приятным Как сделать объемную звезду своими руками Как сделать то, что делать не хочется? Как сделать погремушку Как сделать так чтобы женщины сами знакомились с вами Как сделать идею коммерческой Как сделать хорошую растяжку ног? Как сделать наш разум здоровым? Как сделать, чтобы люди обманывали меньше Вопрос 4. Как сделать так, чтобы вас уважали и ценили? Как сделать лучше себе и другим людям Как сделать свидание интересным?


Категории:

АрхитектураАстрономияБиологияГеографияГеологияИнформатикаИскусствоИсторияКулинарияКультураМаркетингМатематикаМедицинаМенеджментОхрана трудаПравоПроизводствоПсихологияРелигияСоциологияСпортТехникаФизикаФилософияХимияЭкологияЭкономикаЭлектроника






Квантовый гармонический осциллятор. Фононы





Так как потенциальная энергия осциллятора не зависит от времени, то состояния осциллятора определяются стационарным уравнением Шрёдингера

. (2)

Для решения этого уравнения вводятся безразмерные величины

, , . (3)

Обозначая дифференцирование по штрихами и рассматривая как функцию , преобразуем (3) к виду

. (4)

Непрерывные, однозначные и конечные решения этого уравнения существуют не при любых значениях , а только при , где 0, 1, 2, 3.., а решения равны

, (5)

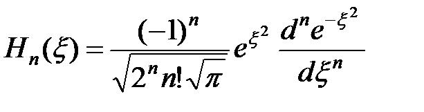
где – полином Чебышева-Эрмита, определяемый формулой

, (6)

а соответствующий собственным функциям спектр энергии осциллятора определяется выражением

. (7)

Таким образом, энергия гармонического осциллятора может принимать лишь дискретные значения. Число n, определяющее номер квантового уровня, называют главным квантовым числом. Положения первых уровней и вид потенциальной функции представлен на рис. 2.11.

 

Рис. 2.11. Потенциальная энергия для осциллятора и первые уровни энергии квантового гармонического осциллятора

 

Так как частица совершает финитное движение, её спектр энергии дискретен. Особенность движения частицы в параболической потенциальной яме состоит в том, что её спектр энергии, как видно из формулы (7) и рисунка, эквидистантен, т.е. расстояние между соседними уровнями не зависит от n и равно . На этом основании можно ввести понятие элементарного возбуждения одномерного гармонического осциллятора, называемого фононом, с энергией . В основном, т.е. невозбужденном состоянии осциллятора число фононов равно нулю, в первом возбужденном состоянии имеется один фонон и т.д. Таким образом, квантовое число n численно равно количеству фононов в данном состоянии осциллятора. Поэтому квантовый осциллятор возбуждается дискретно, поглощая одинаковые порции энергии, равные .







Date: 2015-05-19; view: 1092; Нарушение авторских прав



mydocx.ru - 2015-2026 year. (0.695 sec.) Все материалы представленные на сайте исключительно с целью ознакомления читателями и не преследуют коммерческих целей или нарушение авторских прав - Пожаловаться на публикацию