Главная Случайная страница


Полезное:

Как сделать разговор полезным и приятным Как сделать объемную звезду своими руками Как сделать то, что делать не хочется? Как сделать погремушку Как сделать так чтобы женщины сами знакомились с вами Как сделать идею коммерческой Как сделать хорошую растяжку ног? Как сделать наш разум здоровым? Как сделать, чтобы люди обманывали меньше Вопрос 4. Как сделать так, чтобы вас уважали и ценили? Как сделать лучше себе и другим людям Как сделать свидание интересным?


Категории:

АрхитектураАстрономияБиологияГеографияГеологияИнформатикаИскусствоИсторияКулинарияКультураМаркетингМатематикаМедицинаМенеджментОхрана трудаПравоПроизводствоПсихологияРелигияСоциологияСпортТехникаФизикаФилософияХимияЭкологияЭкономикаЭлектроника






Холодная эмиссия





Электроны могут покинуть поверхность металла либо активационным путём, например при нагревании (термоэлектронная эмиссия) или при освещении в результате внешнего фотоэффекта (фотоэлектронная эмиссия), либо безактивационным путём, т.е. за счет туннелирования. Потенциальный барьер конечной ширины вблизи поверхности металла можно создать, помещая металл в весьма сильное электрическое поле напряжённостью 106-107 В/см. Эмиссия электронов из металла под действием электростатического поля называется холодной или автоэлектронной эмиссией.

В отсутствии внешнего электрического поля металл можно моделировать как потенциальный ящик с ферми-газом валентных электронов. При 0 К электроны в соответствии с принципом Паули заполняют уровни (попарно на каждом уровне) вплоть до некоторой граничной энергии, называемой уровнем Ферми . Уровень Ферми отделяет область заполненных уровней от свободных уровней при 0 К. От уровня вакуума Е =0 уровень Ферми отделяет работа выхода , связанная с поверхностными силами притяжения, которые удерживают электроны в металле (Рис. 2.8).

 

  Рис. 2.8. Металл как потенциальный ящик свободных электронов. – уровень Ферми, – работа выхода

Если к металлу приложить внешнее электростатическое поле , так чтобы металл был катодом, то вектор будет направлен перпендикулярно поверхности (его тангенциальная составляющая, как известно, равна нулю). Внутри металла электрическое поле равно нулю. Таким образом, во внешнем электрическом поле потенциальная энергия электрона будет линейной функцией координаты :

(12)

Электроны металла могут теперь туннелировать сквозь барьер треугольной формы abc.

Рис. 2.9. Вид потенциальной функции электрона в металле, помещенном во внешнее

электрическое поле

 

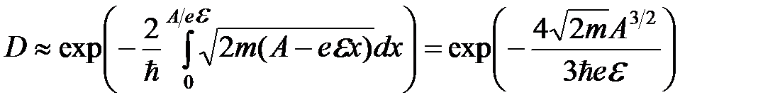
Для вычисления вероятности туннелирования по формуле (11) найдем сначала верхний предел интегрирования , приравнивая полную и потенциальную энергию

,

откуда получим . Для глубины залегания уровня соответственно имеем:

.

Коэффициент прозрачности барьера abc будет определяться выражением

. (13)

Плотность тока автоэлектронной эмиссии можно получить, используя определение коэффициента прозрачности:

, (14)

где константа определяется работой выхода , являющейся физической характеристикой состояния поверхности металла. Обычно работа выхода составляет несколько эВ. Полагая =2 эВ, получим В/см. Закон автоэлектронной эмиссии (14) хорошо подтверждается экспериментально.

 

 







Date: 2015-05-19; view: 1350; Нарушение авторских прав



mydocx.ru - 2015-2026 year. (0.423 sec.) Все материалы представленные на сайте исключительно с целью ознакомления читателями и не преследуют коммерческих целей или нарушение авторских прав - Пожаловаться на публикацию