Главная Случайная страница


Полезное:

Как сделать разговор полезным и приятным Как сделать объемную звезду своими руками Как сделать то, что делать не хочется? Как сделать погремушку Как сделать так чтобы женщины сами знакомились с вами Как сделать идею коммерческой Как сделать хорошую растяжку ног? Как сделать наш разум здоровым? Как сделать, чтобы люди обманывали меньше Вопрос 4. Как сделать так, чтобы вас уважали и ценили? Как сделать лучше себе и другим людям Как сделать свидание интересным?


Категории:

АрхитектураАстрономияБиологияГеографияГеологияИнформатикаИскусствоИсторияКулинарияКультураМаркетингМатематикаМедицинаМенеджментОхрана трудаПравоПроизводствоПсихологияРелигияСоциологияСпортТехникаФизикаФилософияХимияЭкологияЭкономикаЭлектроника






Прохождение частиц через барьер прямоугольной формы





Рассмотрим сначала похождение частицы через прямоугольный потенциальный барьер высотой U 0 и шириной a (Рис. 2.6). Пусть потенциальная энергия частицы равна нулю в интервалах x< 0 и x>a и U=U 0 на отрезке (0, a), а энергия налетающей на барьер частицы E<U 0.

    Рис. 2.6. Прямоугольный потенциальный барьер. Энергия частицы меньше высоты барьера

Уравнение Шредингера в различных областях пространства имеют следующий вид:

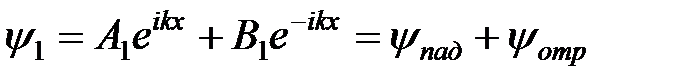
область I

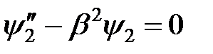
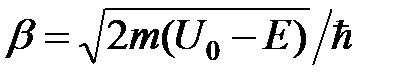
область II

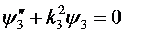
область III ,

где штрихами обозначены производные по x.

Первое уравнение имеет решение в виде суммы падающей и отраженной волн де Бройля:

, (1)

а решение третьего уравнения есть прошедшая волна, которая распространяется в положительном направлении оси x:

. (2)

Решение второго уравнения имеет общий вид: . В практически важных задачах, связанных с проявлением туннельного эффекта , поэтомуположим B= 0, тогда

. (3)

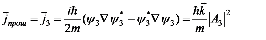
Так как частица может находиться в любой области пространства, т.е. движется инфинитно, то ее спектр энергии непрерывен. В задачах такого рода вычисляют коэффициент прозрачности барьера D. По определению

, (4)

где – вектор плотности потока вероятности.

.

В одномерном случае очевидно

.

Так как падающая волна , то для плотности потока вероятности падающей волны соответственно имеем:

и для коэффициента прозрачности барьера:

. (5)

Коэффициенты A 3 и A 1 найдем из граничных условий

(6)

Подставляя в (6) функции получим

(7)

Умножим первое уравнение на ik и складывая со вторым, получим:

. (8)

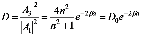
Исключая A 2 из уравнения (8) и третьего уравнения системы (7) имеем:

, (9)

 

где . В большинстве практически важных приложений , поэтому коэффициент прозрачности прямоугольного барьера шириной a на глубине залегания уровня U 0 –E определяется простым выражением:

 

. (10)

 

Показатель степени оказывается порядка единицы для электронов с энергией эВ и ширине барьера a~ 10-10 м или для нуклонов или -частиц с энергиями ~ 1МэВ и ширине барьера a~ 10-14 м. Поэтому туннельный эффект играет важную роль в таких явлениях, как образование химической связи, -распад и ряда других.

 







Date: 2015-05-19; view: 947; Нарушение авторских прав



mydocx.ru - 2015-2026 year. (0.857 sec.) Все материалы представленные на сайте исключительно с целью ознакомления читателями и не преследуют коммерческих целей или нарушение авторских прав - Пожаловаться на публикацию