Главная Случайная страница


Полезное:

Как сделать разговор полезным и приятным Как сделать объемную звезду своими руками Как сделать то, что делать не хочется? Как сделать погремушку Как сделать так чтобы женщины сами знакомились с вами Как сделать идею коммерческой Как сделать хорошую растяжку ног? Как сделать наш разум здоровым? Как сделать, чтобы люди обманывали меньше Вопрос 4. Как сделать так, чтобы вас уважали и ценили? Как сделать лучше себе и другим людям Как сделать свидание интересным?


Категории:

АрхитектураАстрономияБиологияГеографияГеологияИнформатикаИскусствоИсторияКулинарияКультураМаркетингМатематикаМедицинаМенеджментОхрана трудаПравоПроизводствоПсихологияРелигияСоциологияСпортТехникаФизикаФилософияХимияЭкологияЭкономикаЭлектроника






Задачи. 1. Проинтегрируйте дифференциальные уравнения:





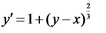
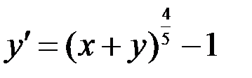
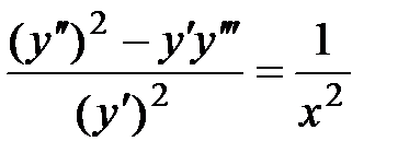
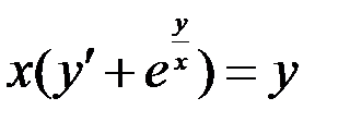
1. Проинтегрируйте дифференциальные уравнения:

 

1) ; 2)

3) ; 4) ;

 

5) ;

 

6) ;

 

7) ;

8) ; 9)

10) ; 11)

12) ; 13)

14) ; 15)

16).

 

2. Найдите общее и особое решения дифференциального уравнения, схематично постройте интегральные кривые.

1) , 3)

 

3. Установите единственность решения заданного уравнения и найдите решение приближенно (разложение решения в ряд Тейлора, метод Эйлера):

a) ;

b)

4.Дано дифференциальное уравнение при . Тогда первые три члена разложения его решения в степенной ряд имеют вид …

5.Дано дифференциальное уравнение при . Тогда первые три члена разложения его решения в степенной ряд имеют вид...

6.Дано дифференциальное уравнение при . Тогда первые три члена разложения его решения в степенной ряд имеют вид...

 

Ответы: 4) , 5) , 6)

 

 

Примеры составления дифференциальных уравнений по условиям задачи.

Задача 1. Поглощение света при прохождении через воду

 

Поглощение светового потока тонким слоем воды пропорционально толщине слоя и потоку, падающему на его поверхность. Зная, что при прохождении через слой толщиной 2м поглощается первоначального светового потока, определить, какой процент его дойдет до глубины 12м?

 







Date: 2015-09-24; view: 846; Нарушение авторских прав



mydocx.ru - 2015-2026 year. (0.671 sec.) Все материалы представленные на сайте исключительно с целью ознакомления читателями и не преследуют коммерческих целей или нарушение авторских прав - Пожаловаться на публикацию