Полезное:
Как сделать разговор полезным и приятным
Как сделать объемную звезду своими руками
Как сделать то, что делать не хочется?
Как сделать погремушку
Как сделать так чтобы женщины сами знакомились с вами
Как сделать идею коммерческой
Как сделать хорошую растяжку ног?
Как сделать наш разум здоровым?
Как сделать, чтобы люди обманывали меньше
Вопрос 4. Как сделать так, чтобы вас уважали и ценили?
Как сделать лучше себе и другим людям
Как сделать свидание интересным?
Категории:
АрхитектураАстрономияБиологияГеографияГеологияИнформатикаИскусствоИсторияКулинарияКультураМаркетингМатематикаМедицинаМенеджментОхрана трудаПравоПроизводствоПсихологияРелигияСоциологияСпортТехникаФизикаФилософияХимияЭкологияЭкономикаЭлектроника
|
Криволинейные и поверхностные интегралы 1 рода
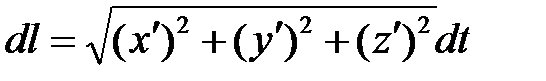
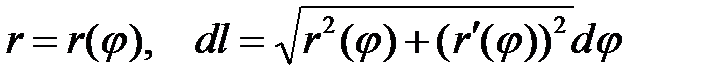
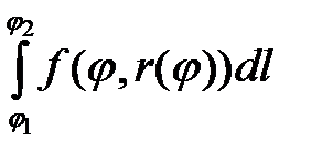
Вычисление криволинейного интеграла 1-го рода (по длине дуги) сводится к вычислению определенного интеграла с учетом способа задания кривой и выражения для дифференциала длины дуги: · Кривая задана явно в декартовой системе координат · Кривая задана в полярной системе координат · Кривая задана параметрически как векторная функция
Вычисление поверхностного интеграла 1-го рода (по площади поверхности) сводится к вычислению двойного интеграла по проекции поверхности на какую-либо координатную плоскость. При проектировании поверхности
где дифференциал площади
ЗАДАЧИ
|
1. Запишите уравнения границ области интегрирования. Постройте область интегрирования. Измените порядок интегрирования в повторном интеграле.
а)
;
б)
;
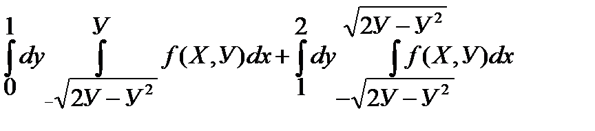
2. Вычислить интегралы:
а)
(измените порядок интегрирования)
б)
;
в)
;
ж)
;
3. Вычислить площадь, ограниченную линиями:

4. Вычислить тройной интеграл (выбрать подходящий порядок интегрирования): 
5. Вычислить объем тела, ограниченного поверхностями, используя наиболее удобную систему координат:
а)
б)
в) 
6. Найти координаты центра масс:
а) тела с плотностью g(X;У;Z)=X2+У2+Z2, заданного неравенствами а2 £ х2+ у2+z2 £ 4a2; у³0;
7. Найти моменты инерции:
а) шара Х2 + У2 + Z2 £ а2 массой М и плотностью
g(X;У;Z) =
относительно центра;
б) однородного тела: 0 £ Rz£ Н (R–
) относительно OZ.
8. Найти массу, распределённую вдоль криволинейного отрезка У=Х2/2 с плотностью γ(X;У)=У/Х; ХÎ[1;2];
9. Определить координаты центра масс однородной линии:
x=е-tcost; y=e-tsint; z=e-t; tÎ[0;¥);
10. Вычислить интеграл по части поверхности конуса
, вырезанной цилиндром Х2+У2=2Х:
;
11. Определите координаты центра масс полусферы радиуса R с центром в начале координат с поверхностной плотностью
g=а
; а=const;
Контрольные вопросы
1. Какое множество является областью интегрирования для двойного, тройного, криволинейного, поверхностного интегралов?
2. Сформулируйте правило расстановки пределов по простейшей стандартной области для двойного интеграла в декартовой и полярной системах координат
3. Сформулируйте правило расстановки пределов для тройного интеграла в декартовой, цилиндрической системах координат
4. Тройной интеграл в сферической системе координат
5. Применение кратных интегралов к вычислению моментов инерции
6. Применение кратных интегралов к вычислению координат центра масс
7. Определение, вычисление и свойства интеграла от скалярной функции вдоль кривой
8. Определение, вычисление и свойства интеграла от скалярной функции по поверхности
Самостоятельная работа
РГР № 12 (0,278 ЗЕ)
Элементы теории поля
Срок выполнения 1-4 недели
Содержание работы
1.Интеграл от векторной функции по кривой. Вычисление работы.
2. Потенциальное поле и его свойства.
3.Поток векторного поля. Дивергенция. Теорема Остроградского-Гаусса.
Литература [1, 2, 10, 16]
Date: 2015-09-24; view: 755; Нарушение авторских прав