Главная Случайная страница


Полезное:

Как сделать разговор полезным и приятным Как сделать объемную звезду своими руками Как сделать то, что делать не хочется? Как сделать погремушку Как сделать так чтобы женщины сами знакомились с вами Как сделать идею коммерческой Как сделать хорошую растяжку ног? Как сделать наш разум здоровым? Как сделать, чтобы люди обманывали меньше Вопрос 4. Как сделать так, чтобы вас уважали и ценили? Как сделать лучше себе и другим людям Как сделать свидание интересным?


Категории:

АрхитектураАстрономияБиологияГеографияГеологияИнформатикаИскусствоИсторияКулинарияКультураМаркетингМатематикаМедицинаМенеджментОхрана трудаПравоПроизводствоПсихологияРелигияСоциологияСпортТехникаФизикаФилософияХимияЭкологияЭкономикаЭлектроника






I. Нахождение угла между двумя заданными направлениями, дву-мя плоскостями, направлением и плоскостью





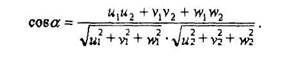
Из аналитической геометрии известно, что скалярное произведение двух векторов равно



 


где a - угол между двумя векторами. Тогда



(4.1)


Соответственно, в кристаллографическом обозначе-нии имеем:

Тогда выражение (4.1) для прямоугольной системы координат запи-шется как




(4.2)


Направления будут взаимно перпендикулярны, если



(4.3)


Для кубической сингонии индексы направления, перпендикулярного плоскости (hkl) численно равны индексам этой плоскости, т.е. [hkl]. На­пример, перпендикуляр к плоскости (100) будет [100]. Учитывая это об­стоятельство, легко найти угол между двумя плоскостями (h1k1l1) и (h2k2l2) (фактически угол ищется между перпендикулярами к этим плоскостям)



(4.3)


В табл.4.4 даны значения углов между некоторыми плоскостями ку-бической решетки.

Значения углов между некоторыми плоскостями кубической ре-шетки

Табл. 4.4

 

(h1k1l1) (h2k2l2) а
(100) (11О) 45°
(100) (111) 54°44'
(100) (211) 35°16'
(100) (З11) 25°14'
(211) (З11) 19°8(

Условие взаимной перпендикулярности двух плоскостей (cos 90° = 0) описывается полученным ранее уравнением (4.3).


Пусть требуется найти угол 5 между направлением [uvw] и плоско стью (рис.4.9).

Рис. 4.9. К нахождению угла между направлением и плоскостью

Пунктиром изображена проекция на плоскость. - нормаль к

плоскости - [hkl] (для кубической сингонии)

Условие перпендикулярности направления и плоскости: 5 =90°, s =0. uh+vk+wl=(u2+v2+w2)1/2*(h2+k2+l2)!/2. Как видно, условие выполняется в случае u=h, v=k, w=l о чем говорилось ранее для кубической сингонии. Условие параллельности или принадлежности направления [uvw] плоскости (hkl) имеет вид:

uh+vk+wl (4.5)

т.к.

Уравнение (4.5) известно как условие зональности.


Выводы

1. Кристаллографически идентичные и параллельные плоскости (на-правления) имеют одинаковые индексы.

2. Кристаллографическая символика позволяет просто решать типо-вые задачи структурного анализ








Date: 2015-09-24; view: 1156; Нарушение авторских прав



mydocx.ru - 2015-2026 year. (0.513 sec.) Все материалы представленные на сайте исключительно с целью ознакомления читателями и не преследуют коммерческих целей или нарушение авторских прав - Пожаловаться на публикацию