Главная Случайная страница


Полезное:

Как сделать разговор полезным и приятным Как сделать объемную звезду своими руками Как сделать то, что делать не хочется? Как сделать погремушку Как сделать так чтобы женщины сами знакомились с вами Как сделать идею коммерческой Как сделать хорошую растяжку ног? Как сделать наш разум здоровым? Как сделать, чтобы люди обманывали меньше Вопрос 4. Как сделать так, чтобы вас уважали и ценили? Как сделать лучше себе и другим людям Как сделать свидание интересным?


Категории:

АрхитектураАстрономияБиологияГеографияГеологияИнформатикаИскусствоИсторияКулинарияКультураМаркетингМатематикаМедицинаМенеджментОхрана трудаПравоПроизводствоПсихологияРелигияСоциологияСпортТехникаФизикаФилософияХимияЭкологияЭкономикаЭлектроника






Модель стабилизации цены на рынке одного товара(модель Эванса)





С уществует ряд моделей стабилизации цены на рынке одного товара. Среди них можно выделить модели с дискретным и непрерывным временем работы рынка. К модели с дискретным временем относится «паутинообразная модель». В качестве примера модели с непрерывным временем является модель Эванса.

Для описания данной модели введем следующие обозначения: спрос на товар во время ; стоимость товара во время ; предложение товара в момент .

В качестве допущений, на которых строится модель, принимаются следующие:

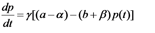
1) смена цены на товар происходит пропорционально разности между спросом и предложением в данный момент времени, т.е.

где

коэффициент пропорциональности ();

2) спрос на товар падает по линейному закону, т.е ;

3) предложения товара с ростом цены растут по линейному закону, т.е. .

Согласно допущениям взаимодействие покупателя и производителя товара происходит таким образом, что цена, которая отображает это взаимодействие, непрерывно приспосабливается до складывающейся ситуации на рынке. Цена растет, если спрос превышает предложения и цена падает, если предложения превышает спрос.

Подставив втрое и третье уравнения в первое уравнение, запишем его в виде

. (2.1)

Перейдя к пределу при получим следующее дифференциальное неоднородное уравнение первого порядка с постоянными коэффициентами:

. (2.2)

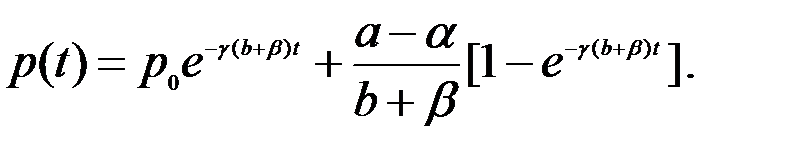
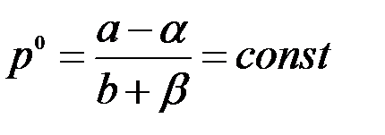
Для его однозначного решения к нему необходимо присоединить начальное условие , характеризующее тот факт, что в начальный момент времени цена равна . Если положить , то из уравнения следует стационарная точка . Так как , то .

Из выражения (2.2) следует, что при начальной цене меньше стационарной () , а, следовательно, происходит рост цены, так как при . При происходит падение цены. Другими словами, в первом случае () цена достигает равновесного значения увеличиваясь, а во втором случае () уменьшаясь по сравнению с начальной. При этом равновесная цена не зависит от начальной цены . Поскольку функции спроса и предложения являются линейными, то их графики представляют собой прямые линии, а тогда равновесная точка есть точка пересечения прямых линий.

Рис. 2.1 Схема механизма стабилизации цены

Все приведенные выводы легко получить из решения дифференциального уравнения (2.2), которое имеет вид

(2.3)

Для геометрической иллюстрации стабилизации цены рассмотрим уравнение (2.1), которое является дискретным аналогом уравнения (2.2), где для приращения времени на шаге принято обозначение , а для цены . Представим (2.1) в следующем виде:

Из него следует выражение

где .

На рис. 2.1 представлен схематично механизм стабилизации цены на рынке.

Из анализа схемы стабилизации цены следует при . Так как , то и

при , т.е. цена стабилизируется.







Date: 2015-09-18; view: 825; Нарушение авторских прав



mydocx.ru - 2015-2026 year. (1.159 sec.) Все материалы представленные на сайте исключительно с целью ознакомления читателями и не преследуют коммерческих целей или нарушение авторских прав - Пожаловаться на публикацию