Главная Случайная страница


Полезное:

Как сделать разговор полезным и приятным Как сделать объемную звезду своими руками Как сделать то, что делать не хочется? Как сделать погремушку Как сделать так чтобы женщины сами знакомились с вами Как сделать идею коммерческой Как сделать хорошую растяжку ног? Как сделать наш разум здоровым? Как сделать, чтобы люди обманывали меньше Вопрос 4. Как сделать так, чтобы вас уважали и ценили? Как сделать лучше себе и другим людям Как сделать свидание интересным?


Категории:

АрхитектураАстрономияБиологияГеографияГеологияИнформатикаИскусствоИсторияКулинарияКультураМаркетингМатематикаМедицинаМенеджментОхрана трудаПравоПроизводствоПсихологияРелигияСоциологияСпортТехникаФизикаФилософияХимияЭкологияЭкономикаЭлектроника






Построение ф-ий спроса и предложения методом наименьших квадратов





В качестве исходных данных для построения ф-ии спроса и предложения выступают данные независимого наблюдения предложения и цены. Если необходимо оценить коэфф-ты линейной ф-ии спроса, то применяют непосредственно метод наименьших квадратов p(x)=Co+C1(x). Если нелинейная ф-ия – используют линеаризацию. Самостоятельно применяют метод наим. кВ. для нелинейной ф-ии спроса, т.е. линеаризируют функцию зависящую Функции спроса (предложения) по цене могут быть как линейными, так и нелинейными. В случае линейной функции она имеет следующий вид: Функция характеризует собой семейства прямых, каждая из которых характеризуется конкретными значениями коэффициентов a и b. Наилучшей для рассматриваемой выборки из всего множества прямых является, та прямая, которая на плоскости xoy расположена «ближе» всего, в определенном смысле, к опытным точкам. В качестве меры близости прямой и некоторой точки на плоскости можно выбрать расстояние между ними. При этом под расстоянием следует понимать модуль разности между опытным (наблюдаемым) значением результирующей величины и теоретическим, вычисленным по формуле при одном и том же значении фактора т.е. (i=1,2,...,n)

В качестве критерия близости между прямой и множеством точек на плоскости целесообразно выбрать минимум суммы квадратов этих расстояний. Здесь считается, что и - известные статистические данные; a и b – неизвестные параметры (коэффициенты) линии регрессии. Поскольку функция непрерывна, выпукла и ограничена снизу нулем, то она имеет минимум.

Изложенная идея минимизации суммы квадратов отклонений (на плоскости расстояний) опытных от теоретических значений объясняемой переменной положена в основу метода наименьших квадратов.

«Наилучшая» по методу наименьших квадратов прямая линия всегда существует. Вместе с тем, это не означает, что она является наилучшей среди всех возможных функций, например, в сравнении с нелинейными.

 

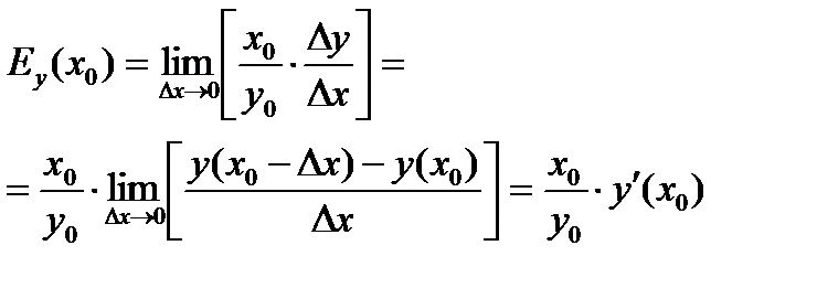
9. Эластичность функции. Эластичностью Exy(x0) непрерывной функции y=f(x) в точке x= x0 называется предел отношения относительного приращения ф-ии в точке x0 к относительному приращению аргумента в точке x0, когда абсолютное приращение ∆х→0. Из определения следует, что при малых ∆х: , т.е. Эластичность – коэф. пропорциональности м/у относительными изменениями величины ф-ии и аргумента. Показывает на сколько % измениться относительное приращение ф-ии, еслт изменить на 1 % относительное приращение аргумента. Из анализа определения следует:

Следовательно, если ф-я y(x) на промежутке (a,b) дифференцируема, то для нее можно вычислить производную в точке х℮(a,b) эластичность . Поскольку коэфф-ты эластич-ти предст. эк. интерес, приведем ф-лы расчета коэфф-тов эл-ти для широко использ уемых ф-ций

 

 

10. Свойства эластичности. 1. Пусть даны непрерывные функции Кроме того Тогда для функции ее эластичность Еy будет удовлетворять следующему условию:

2. Пусть функции Тогда эластичность произведения функций y(x)* z(x) равна сумме их эластичностей, а эластичность частного- разности их эластичностей, т.е.

3. Пусть дана сложная функция y= y(x), где x= x(t), Тогда эластичность функции y(t) удовлетворяет равенству

 

4. Пусть для функции y=f(x) существует обратная функция x= g(y). тогда эластичность обратной функции удовлетворяет соотношению:

 







Date: 2015-09-18; view: 743; Нарушение авторских прав



mydocx.ru - 2015-2026 year. (0.726 sec.) Все материалы представленные на сайте исключительно с целью ознакомления читателями и не преследуют коммерческих целей или нарушение авторских прав - Пожаловаться на публикацию