Главная Случайная страница


Полезное:

Как сделать разговор полезным и приятным Как сделать объемную звезду своими руками Как сделать то, что делать не хочется? Как сделать погремушку Как сделать так чтобы женщины сами знакомились с вами Как сделать идею коммерческой Как сделать хорошую растяжку ног? Как сделать наш разум здоровым? Как сделать, чтобы люди обманывали меньше Вопрос 4. Как сделать так, чтобы вас уважали и ценили? Как сделать лучше себе и другим людям Как сделать свидание интересным?


Категории:

АрхитектураАстрономияБиологияГеографияГеологияИнформатикаИскусствоИсторияКулинарияКультураМаркетингМатематикаМедицинаМенеджментОхрана трудаПравоПроизводствоПсихологияРелигияСоциологияСпортТехникаФизикаФилософияХимияЭкологияЭкономикаЭлектроника






Формула Вина





Вин предположил, что каждая мода колебаний является носителем энергии e (w), но не все моды данной частоты возбуждены. Относительное число D N / N - возбужденных мод дается распределением Больцмана; D N / N = e-e (w)/ kT. Откуда для средней энергии, приходящейся на моды с частотой w, находим

.

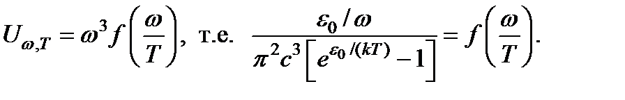
Из общих термодинамических соображений Вин заключил, что энергия моды частотой w пропорциональна частоте, т.е. (коэффициент пропорциональности дан в современных обозначениях в виде постоянной Планка, которая в то время не была известна). Тогда формула c учетом принимает вид: Эта формула носит название формулы Вина и хорошо согласуется с опытом в области достаточно больших частот.

Формула Планка

Правильная формула спектральной плотности энергии равновесного излучения, подтвержденная всеми экспериментальными исследованиями, была найдена Планком полуэмпирическим путем. Затем Планк сделал теоретический вывод этой формулы, изложенной им 14 декабря 1900 г. на заседании Немецкого физического Общества. Этот день считается днем рождения новой - квантовой физики.

Основная гипотеза Планка состояла в том, что излучение и поглощение света веществом происходит не непрерывно, а конечными порциями, называемыми квантами света или квантами энергии. Если придерживаться метода, который был использован для вывода формулы Рэлея-Джинса, то гипотезу Планка удобно сформулировать так: энергия гармонического осциллятора может принимать не произвольные, а только избранные значения, образующие дискретный ряд: 0, e 0, 2 e 0, 3 e 0,..., где e 0 - определенная величина, зависящая только от собственной частота w осциллятора. Здесь под осциллятором понимается не только частица, способная совершать гармонические свободные колебания, но и стоячая волна определенной частоты в полости.

Если осциллятор находится в полости, стенки которой поддерживаются при постоянной температуре, то наряду с излучением будут происходить и акты поглощения, в результате которых возбуждаются и высшие энергетические уровни. Установится определенное состояние равновесия, в котором число актов излучения в среднем равно числу обратных актов поглощения. В этом состоянии будут возбуждены все энергетические уровни, но с различными вероятностями. Поэтому дли нахождения функции Uw , T нужно было определить среднюю энергию осциллятора в состоянии статистического равновесия.

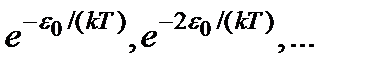
По теореме Больцмана вероятности возбуждения энергетических уровней осциллятора пропорциональны величинам: Поэтому где введено обозначение x = e 0/(kT). Значение знаменателя перепишется так: Числитель находится дифференцированием этой формулы по x:

и, следовательно, Подставив это значение в, найдем

Величину e 0 Планк определил из требования, чтобы последнее выражение удовлетворяло общей термодинамической формуле Вина:

Так как e 0 есть характеристика только самого осциллятора, поэтому она не может зависеть от температуры Т, а должна зависеть только от собственной частоты осциллятора. В таком случае, чтобы левая часть последнего равенства была функцией только аргумента w / T необходимо и достаточно, чтобы ,

где =1,054×10-34Дж×с - постоянная Планка.

Если выражение подставить в, то и получится формула Планка: При << kT (малых частотах) формула переходит в закон Рэлея-Джинса, а при >> kT (больших частотах) - в закон Вина.

 

 







Date: 2015-08-06; view: 1579; Нарушение авторских прав



mydocx.ru - 2015-2026 year. (0.213 sec.) Все материалы представленные на сайте исключительно с целью ознакомления читателями и не преследуют коммерческих целей или нарушение авторских прав - Пожаловаться на публикацию