Главная Случайная страница


Полезное:

Как сделать разговор полезным и приятным Как сделать объемную звезду своими руками Как сделать то, что делать не хочется? Как сделать погремушку Как сделать так чтобы женщины сами знакомились с вами Как сделать идею коммерческой Как сделать хорошую растяжку ног? Как сделать наш разум здоровым? Как сделать, чтобы люди обманывали меньше Вопрос 4. Как сделать так, чтобы вас уважали и ценили? Как сделать лучше себе и другим людям Как сделать свидание интересным?


Категории:

АрхитектураАстрономияБиологияГеографияГеологияИнформатикаИскусствоИсторияКулинарияКультураМаркетингМатематикаМедицинаМенеджментОхрана трудаПравоПроизводствоПсихологияРелигияСоциологияСпортТехникаФизикаФилософияХимияЭкологияЭкономикаЭлектроника






Изображение малых предметов. Увеличение






Выберем в качестве предмета линию А 1 В 1, перпендикулярную к оптической оси, и построим ее изображение А 2 В 2 (рис. 7.7) Р и с. 7.7

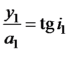
Для графического отыскания точки В 2 можно провести луч В 1 В 1А 1 О, тогда преломленный луч должен пройти через фокус F 2. Луч В 1 С, проходящий через центр С сферической поверхности, не изменяет направления своего распространения.

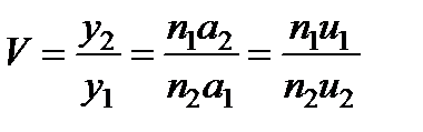
Отношение линейных размеров изображения (y 2 = A 2 B 2) и предмета (y 1 = A 1 B 1) носит название линейного или поперечного увеличения V: . Из треугольников А 1 В 1 О и А 2 В 2 О имеем , где а 1 и а 2 – расстояния от преломляющей поверхности до предмета и до его изображения, соответственно.

При малых размерах А 1 В 1 и А 2 В 2 (параксиальное приближение) так что или .

Для преломляющей системы n 1 и n 2 всегда положительно и поэтому знак V определяется знаком отношения а 2/ а 1. Для расположений, соответствующих действительному изображению, как на рис. 7.7, а 1 и а 2 имеют разные знаки, т.е. V – отрицательно и изображение перевернутое; для мнимых изображений – наоборот.

Плоскость предмета A 1 B 1 и плоскость его изображения A 2 B 2 являются сопряженными по отношению к данной оптической системе. Сопряженные плоскости называются главными, если для них V = 1, т.е. изображение получается прямым и в натуральную величину.

Из формул и следует, что для сферической поверхности главные плоскости совпадают между собой и представлены плоскостью, касательной к сфере в точке 0, т.е. а 1 = а 2 = 0. Поэтому фокусные расстояния сферической поверхности следует считать расстояниями от главных плоскостей до фокусов.

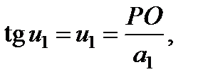
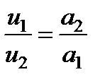
На рис. 7.7 изображены также углы u 1 и u 2, определяющие максимальное раскрытие (апертуру) пучков, падающих на сферическую поверхность (угол 2 u 1), и сопряженных им изображающих пучков (угол 2 u 2). Предельное значение этих углов определяется требованием соблюдения условий параксиальности, когда изображение небольшого предмета будет передаваться без искажения.

Для параксиальных лучей A 1 P A 1 O = a 1 и PA 2 OA 2 = a 2, поэтому , и на основании имеем или ..

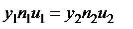
Соотношение носит название теоремы Лагранжа-Гельмгольца и справедливо для параксиальных лучей.

Получение четких изображений при употреблении пучков со значительной апертурой возможно лишь при выполнении условия синусов Аббе: .

Строение пучка, преобразованного оптической системой, может быть только таким, какое допускают условия или.







Date: 2015-08-06; view: 492; Нарушение авторских прав



mydocx.ru - 2015-2026 year. (1.105 sec.) Все материалы представленные на сайте исключительно с целью ознакомления читателями и не преследуют коммерческих целей или нарушение авторских прав - Пожаловаться на публикацию