Главная Случайная страница


Полезное:

Как сделать разговор полезным и приятным Как сделать объемную звезду своими руками Как сделать то, что делать не хочется? Как сделать погремушку Как сделать так чтобы женщины сами знакомились с вами Как сделать идею коммерческой Как сделать хорошую растяжку ног? Как сделать наш разум здоровым? Как сделать, чтобы люди обманывали меньше Вопрос 4. Как сделать так, чтобы вас уважали и ценили? Как сделать лучше себе и другим людям Как сделать свидание интересным?


Категории:

АрхитектураАстрономияБиологияГеографияГеологияИнформатикаИскусствоИсторияКулинарияКультураМаркетингМатематикаМедицинаМенеджментОхрана трудаПравоПроизводствоПсихологияРелигияСоциологияСпортТехникаФизикаФилософияХимияЭкологияЭкономикаЭлектроника






Оптические усилители и генераторы





При прохождении света через среду осуществляется обмен квантами между пучком света и атомами среды посредством вынужденных переходов и спонтанное испускание квантов. Обозначим частоту излучения, концентрации атомов на верхнем и нижнем уровнях соответственно w, N 1, N 0 (см. рис.8.2). Спектральную объемную плотность излучения частоты обозначим Uw. Она изменяется в результате вынужденного поглощения квантов атомами среды, благодаря чему плотность потока уменьшается, и вследствие вынужденного излучения атомов, приводящего к увеличению плотности Uw. Закон сохранения энергии при вынужденных переходах на основании записывается в виде

,

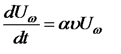
где B = B 10 = B 01. С помощью обозначения

уравнение может быть записано в виде ,

где - скорость света с частотой w в среде. Это уравнение может быть переписано в виде , где

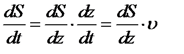
- плотность потока энергии. Считая, что свет распространяется в направлении оси Oz, можем написать

, где dz / dt – скорость распространения света в среде. Ясно, что здесь речь идет о групповой скорости, с которой распространяется энергия. С учетом равнение принимает вид и имеет решение , где S 0 = S (0).

Экспоненциальная зависимость плотности потока от расстояния называется законом Бугера. В состоянии термодинамического равновесия концентрации атомов описываются распределением Больцмана. Из неравенства Е 1 > Е 0 следует, что N 1 < N 0 и поэтому a < 0. Это означает, что плотность потока по мере прохождения света в среде уменьшается. Механизм уменьшения плотности состоит в следующем. В результате вынужденных переходов атомов с нижнего энергетического уровня на верхний, плотность энергии потока уменьшается. При переходе атомов с верхнего уровня на нижний лишь часть квантов возвращается в поток, а именно кванты, испущенные в результате вынужденных переходов. Кванты, испущенные спонтанно, в поток не возвращаются, что и является причиной уменьшения его плотности







Date: 2015-08-06; view: 468; Нарушение авторских прав



mydocx.ru - 2015-2026 year. (1.145 sec.) Все материалы представленные на сайте исключительно с целью ознакомления читателями и не преследуют коммерческих целей или нарушение авторских прав - Пожаловаться на публикацию