Главная Случайная страница


Полезное:

Как сделать разговор полезным и приятным Как сделать объемную звезду своими руками Как сделать то, что делать не хочется? Как сделать погремушку Как сделать так чтобы женщины сами знакомились с вами Как сделать идею коммерческой Как сделать хорошую растяжку ног? Как сделать наш разум здоровым? Как сделать, чтобы люди обманывали меньше Вопрос 4. Как сделать так, чтобы вас уважали и ценили? Как сделать лучше себе и другим людям Как сделать свидание интересным?


Категории:

АрхитектураАстрономияБиологияГеографияГеологияИнформатикаИскусствоИсторияКулинарияКультураМаркетингМатематикаМедицинаМенеджментОхрана трудаПравоПроизводствоПсихологияРелигияСоциологияСпортТехникаФизикаФилософияХимияЭкологияЭкономикаЭлектроника






Сферическая волна





Нетрудно убедиться, что уравнениям удовлетворяют и волны вида

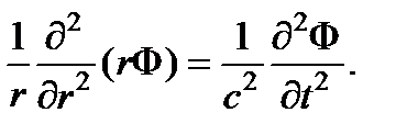
, в которых напряженности полей зависят только от одной пространственной переменной – модуля радиус-вектора. Такие волны называют сферическими. Рассмотрим скалярное волновое уравнение

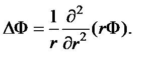
и будем искать его решение вида Ф = Ф(t, r). Для сферически симметричной функции Ф оператор Лапласа имеет вид Поэтому волновое уравнение перепишется следующим образом

Введем вспомогательную функцию F = r Ф. Тогда последнее уравнение преобразуется к виду, аналогичному (1.10)

и, следовательно, его общее решение представится в виде суперпозиции двух волн, бегущих во взаимно противоположных направлениях

Возвращаясь к искомой функции Ф, получим

Выражение описывает две сферические волны. Первое слагаемое представляет собой волну, движущуюся в направлении увеличения значений r, т.е. от центра, где расположен точечный источник. Такая волна называется расходящейся. Второе слагаемое описывает волну, движущуюся в направлении уменьшения значения r, т.е. к центру. Такая волна называется сходящейся. Значение Ф в фиксированный момент времени на сфере постоянного радиуса является постоянным.







Date: 2015-08-06; view: 527; Нарушение авторских прав



mydocx.ru - 2015-2026 year. (0.628 sec.) Все материалы представленные на сайте исключительно с целью ознакомления читателями и не преследуют коммерческих целей или нарушение авторских прав - Пожаловаться на публикацию