Главная Случайная страница


Полезное:

Как сделать разговор полезным и приятным Как сделать объемную звезду своими руками Как сделать то, что делать не хочется? Как сделать погремушку Как сделать так чтобы женщины сами знакомились с вами Как сделать идею коммерческой Как сделать хорошую растяжку ног? Как сделать наш разум здоровым? Как сделать, чтобы люди обманывали меньше Вопрос 4. Как сделать так, чтобы вас уважали и ценили? Как сделать лучше себе и другим людям Как сделать свидание интересным?


Категории:

АрхитектураАстрономияБиологияГеографияГеологияИнформатикаИскусствоИсторияКулинарияКультураМаркетингМатематикаМедицинаМенеджментОхрана трудаПравоПроизводствоПсихологияРелигияСоциологияСпортТехникаФизикаФилософияХимияЭкологияЭкономикаЭлектроника






Плотность потока энергии





Плотность потока энергии электромагнитного поля определяется вектором Умова - Пойнтинга

,

который указывает направление и количество энергии, переносимой световой волной за единицу времени через единичную площадку, расположенную перпендикулярно направлению распространения волны. Модуль вектора в случае плоской волны может быть представлен в виде: ,

где учтено одно из соотношений.

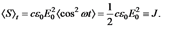
Учитывая, что значение вектора электромагнитной волны оптического диапазона изменяется с частотами порядка 1015 Гц, то следить за изменением этой величины во времени невозможно. Можно наблюдать и измерять лишь средние значения, как величины Е 2, так и величины S, по очень большому числу периодов колебаний. Поэтому от мгновенных величин необходимо перейти к средним.

Учитывая, что для гармонических волн E = Е 0 cosw t, где Е 0 – амплитуда напряженности электрического поля волны, находим среднюю по времени плотность потока энергии, которую называют обычно интенсивностью света:

Обычно в эксперименте используют пучки света конечного сечения, по которому плотность потока распределена неравномерно. Чаще всего пучок имеет круговое сечение, распределение плотности энергии по которому аксиально симметричное и гауссово. Такой пучок называется гауссовым, и распределение средней плотности потока энергии имеет вид где S 0 – средняя плотность потока энергии в центре пучка (r = 0); r – расстояние от центра. На расстоянии r 0 плотность потока энергии убывает в е = 2,72 раза. По обычной договоренности об обращении с экспоненциально убывающими величинами можно сказать, что радиус пучка равен r 0. Гауссовы волны могут служить математической моделью излучения оптических квантовых генераторов (лазеров).







Date: 2015-08-06; view: 1130; Нарушение авторских прав



mydocx.ru - 2015-2026 year. (1.355 sec.) Все материалы представленные на сайте исключительно с целью ознакомления читателями и не преследуют коммерческих целей или нарушение авторских прав - Пожаловаться на публикацию