Главная Случайная страница


Полезное:

Как сделать разговор полезным и приятным Как сделать объемную звезду своими руками Как сделать то, что делать не хочется? Как сделать погремушку Как сделать так чтобы женщины сами знакомились с вами Как сделать идею коммерческой Как сделать хорошую растяжку ног? Как сделать наш разум здоровым? Как сделать, чтобы люди обманывали меньше Вопрос 4. Как сделать так, чтобы вас уважали и ценили? Как сделать лучше себе и другим людям Как сделать свидание интересным?


Категории:

АрхитектураАстрономияБиологияГеографияГеологияИнформатикаИскусствоИсторияКулинарияКультураМаркетингМатематикаМедицинаМенеджментОхрана трудаПравоПроизводствоПсихологияРелигияСоциологияСпортТехникаФизикаФилософияХимияЭкологияЭкономикаЭлектроника






Метод наложения (суперпозиция) токов





 

Этот метод можно применять для определения токов в цепи, в которой одновременно действуют несколько ЭДС. Этот метод основан на принципе наложения и применим только для линейных цепей.

Сущность принципа наложения заключается в том, что ток в любой ветви цепи с постоянными сопротивлениями равен алгебраической сумме частичных токов, создаваемых в этой ветви каждой из ЭДС в отдельности.

Алгоритм расчёта:

 

1. Определим количество токов в цепи. Выбираем условно направление тока в каждой ветви.

а) Предложим, что в цепи действует только одна какая–либо ЭДС.

б) Все остальные ЭДС приравниваем к нулю.

в) Все сопротивления оставляем неизменённым, включая внутреннее сопротивления всех источников.

г) Получим цепь с последовательно–параллельным соединением сопротивлений.

д) Для такой схемы находим токораспределение. Указываем на схеме направления токов, вызванных действием только одной ЭДС. Это так называемые частичные токи. Обозначают их с одним штрихом: I'.

е) Зная сопротивления участков и ЭДС источника, используя закон Ома и соотношения величин при последовательном и параллельном соединении резисторов, определим значение частичных токов от одного источника ЭДС.

3. Аналогично полагаем, что в цепи действует вторая ЭДС, а все остальные не действуют. Повторяем расчёт частичных токов от действия второго источника, их обозначают с двумя штрихами: I″.

4. Аналогично производим расчёты поочерёдно для всех ЭДС схемы.

5. Определяем действительные значения токов в каждой ветви по принципу наложения токов, то есть, алгебраически сложив частичные токи, определяем действительные значения токов на каждом участке сложной цепи, когда все ЭДС действуют одновременно.

Правило алгебраического сложения токов:

Знак, который ставится перед частичным током при алгебраическом сложении, зависит от того, совпадает ли направление этого тока с выбранным направлением действительного тока в ветви или противоположно ему. Если совпадает, то знак «+», если противоположно, то знак «–».

 

Пример:

Дано: (Рис18) R1=R3=2 Ом; R2=1,6 Ом; E1=3,6 В; E2=4,8 В; r01=r02=0,5 Ом.

Найти: все токи.

 

Решение задачи:

1. Применение метода наложения к цепи на рис.18.

Разветвление цепи с несколькими источниками энергии, включенными в разные ветви, к числу которых относится и цепь на рис. 18, являются сложными цепями. Для таких сложных электрических цепей существует ряд методов, один из которых (метод наложения) рассматривается в этом параграфе, а другие методы в следующих параграфах.

По методу наложения ток в любом участке цепи рассматривается как алгебраическая сумма частичных токов, созданных каждой ЭДС в отдельности. В нашем случае следует:

Рис. 18.

Рис. 19.

Рис. 20.

 

во-первых, определить частичные токи от ЭДС Е1 при отсутствии ЭДС Е2, т.е. рассчитать простую цепь по рис. 19; во-вторых найти частичные токи от ЭДС Е2 при отсутствии ЭДС Е1, т.е. рассчитать простую цепь по рис. 20; в-третьих, алгебраически сложить частичные токи двух последних схем.

Итак, метод наложения позволяет заменить расчёт одной сложной цепи с несколькими источниками энергии (рис. 18) расчётом нескольких в данном случае двух) цепей с одним источником энергии в каждой.

2. Обозначение частичных токов. Все частичные токи от ЭДС Е1 (рис. 19.) обозначим буквой I с одним штрихом, а все частичные токи от ЭДС Е2 (рис. 20.) – с двумя штрихами.

3. Вычисление частичных токов. Для цепи с ЭДС Е1 (рис. 19.) рассчитаем сначала общее сопротивление. Сопротивление участка БВ

Ом.

 

Оно соединено последовательно с сопротивлением R2, поэтому

Ом.

 

Два одинаковых сопротивления R'АБВ R1 соединены параллельно, поэтому общее сопротивление всей внешней цепи

 

Ток источника

 

разветвляется в узловой точке А на два одинаковых тока:

 

Ток I'АБ разветвляется в узловой точке Б на токи:

 

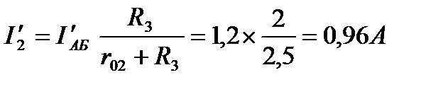
Для цепи с ЭДС E2 (рис.20):

так как R3=R″БАВ.

В ветви источника с ЭДС E2 ток

 

Поскольку R″БАВ=R3=2,0 Ом, то ток

 

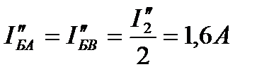
Токи в параллельных ветвях участка АВ:

 

4. Вычисление токов в цепи на рис. 20. Выполним алгебраическое сложение частичных токов.

На участке ВКА частичный ток I'1 (рис. 19) направлен от узла В к узлу А, а частичный ток I″1 (рис. 20) – от А к В, т.е. навстречу первому. Поэтому суммарный ток

 

Направление тока I1 (рис. 19.) совпадает с направлением большего частичного тока, т.е. тока I'1.


Аналогичным образом определяем IБА и I2:

 

Направления токов IБА и I2 (рис.20) совпадают с направлениями токов I″БА и I″2 соответственно.

В ветви АВ оба частичных тока (I'АБ и I″АБ) совпадают по направлению, поэтому

Аналогично

5. Вычисление напряжений. Напряжения между узловыми точками:

6. Проверка результатов вычислений. Для проверки расчётов составим уравнение по законам Кирхгофа.

Для узла А: ; действительно, 1,52=1,12+0,4.

Для узла Б: ; действительно, 2,24=0,4+1,84.

Для контура АВБ: ; действительно, +3,04-3,68+0,64=0 (обходим против направления движения стрелки часов).

 

*Дополнительные вопросы к задаче

1. Как применяется метод наложения для расчёта цепей. содержащих более двух источников?

если сложная цепь содержит, например три источника ЭДС Е1, Е2 и Е3, включенных в разные ветви, то следует составить три схемы для расчёта частичных токов: одна схема будет содержать только ЭДС Е2, а третья – только ЭДС Е3.

Рассчитав в трёх схемах частичные токи и алгебраически сложив их, получим токи заданной цепи.

2. В каких случаях для расчёта сложной цепи целесообразно применять метод наложения?

Наиболее трудоёмкой частью в расчётах по методу наложения является вычисление частичных токов. Поэтому его применяют при небольшом числе источников – при двух, иногда трёх.

Этот метод удобен также в тех случаях, когда не нужен полный расчёт цепи, а требуется найти, например, только токи в участках с источниками.

3. В каких случаях расчёт токов методом наложения может привести к большим погрешностям в результатах?

Если результирующий ток ветви выражается разностью двух близких величин, то незначительная относительная погрешность в определении слагаемых (частичных токов) может привести к весьма большой относительной погрешности результата (действительного тока ветви). В таких случаях метод наложения применять нецелесообразно.

 







Date: 2015-07-24; view: 5822; Нарушение авторских прав



mydocx.ru - 2015-2026 year. (0.422 sec.) Все материалы представленные на сайте исключительно с целью ознакомления читателями и не преследуют коммерческих целей или нарушение авторских прав - Пожаловаться на публикацию