Главная Случайная страница


Полезное:

Как сделать разговор полезным и приятным Как сделать объемную звезду своими руками Как сделать то, что делать не хочется? Как сделать погремушку Как сделать так чтобы женщины сами знакомились с вами Как сделать идею коммерческой Как сделать хорошую растяжку ног? Как сделать наш разум здоровым? Как сделать, чтобы люди обманывали меньше Вопрос 4. Как сделать так, чтобы вас уважали и ценили? Как сделать лучше себе и другим людям Как сделать свидание интересным?


Категории:

АрхитектураАстрономияБиологияГеографияГеологияИнформатикаИскусствоИсторияКулинарияКультураМаркетингМатематикаМедицинаМенеджментОхрана трудаПравоПроизводствоПсихологияРелигияСоциологияСпортТехникаФизикаФилософияХимияЭкологияЭкономикаЭлектроника






Метод контурных токов





 

Применяется для упрощения расчёта сложных схем.

Контурный ток – это некоторая расчётная величина, которая одинакова для ветвей данного контура.


Рис. 16.

 

Контурные токи: II и III

Контурный ток равен действительному току ветви, которая принадлежит только одному контуру.

Рис. 16
Если ветвь относиться к 2-м смежным контурам, то ток в них равен алгебраической сумме контурных токов тех

контуров, в которые эта ветвь входит.

Сопротивления ветвей, входящих в данный контур, называются собственными сопротивлениями контуров.

Сопротивления ветвей, входящих в два смежных контура, называют общими сопротивлениями контуров.

 

Алгоритм расчёта:

1. В заданной схеме выбираем произвольно направление токов в ветвях.

2. Намечаем независимые контура и для них выбираем направление контурных токов, например по часовой стрелке.

3. Определяем контурные ЭДС, собственные и общие сопротивления контуров, обходя контуры в направлении контурных токов. Выбираем действительные токи ветвей через контурные (см. выше).

4. Составляем уравнения по второму закону Кирхгофа. В левой части их слагаемые с собственными сопротивлениями контуров берут со знаком плюс, а слагаемые с общими сопротивлениями – со знаком минус.

5. Полученные уравнения объединяем в систему и решаем любым способом, известным из математики.

6. Затем найдём действительные токи, выраженные через контурные.

7. Выполним проверку по первому закону Кирхгофа для любого узла и составим баланс мощностей.


Пример.

Рис. 17.

 

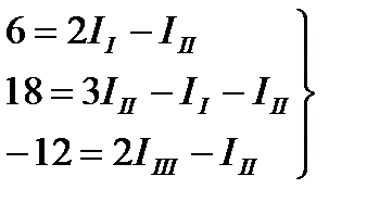
Определить токи во всех ветвях схемы рис. 17, если Е13=120 В; Е2=60 В; R1=R2=R3=10 Ом; R4=R5=10 Ом.

 

Решение:

 

1. Разобьём схему на три контура: I1, I2, I3.

2. Получим три контурных тока, направленных по часовой стрелке: I1, I2, I3.

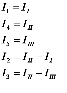
3. Выразим действительные токи ветвей через контурные:

4. Составим уравнение по второму закону Кирхгофа.

 

 

 

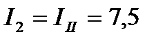
Решив полученную систему уравнений, определим контурные токи:

А

А

А

 

5. В схеме пять ветвей, следовательно пять токов I1, I2, I3, I4, I5.

6. Определим действительные токи внешних ветвей:

А

А

А

 

7. Токи внутренних ветвей:

А

А

 

Знак «–» означат, что действительный ток I5 направлен обратно указанному на схеме.

 







Date: 2015-07-24; view: 2466; Нарушение авторских прав



mydocx.ru - 2015-2026 year. (1.423 sec.) Все материалы представленные на сайте исключительно с целью ознакомления читателями и не преследуют коммерческих целей или нарушение авторских прав - Пожаловаться на публикацию