Главная Случайная страница


Полезное:

Как сделать разговор полезным и приятным Как сделать объемную звезду своими руками Как сделать то, что делать не хочется? Как сделать погремушку Как сделать так чтобы женщины сами знакомились с вами Как сделать идею коммерческой Как сделать хорошую растяжку ног? Как сделать наш разум здоровым? Как сделать, чтобы люди обманывали меньше Вопрос 4. Как сделать так, чтобы вас уважали и ценили? Как сделать лучше себе и другим людям Как сделать свидание интересным?


Категории:

АрхитектураАстрономияБиологияГеографияГеологияИнформатикаИскусствоИсторияКулинарияКультураМаркетингМатематикаМедицинаМенеджментОхрана трудаПравоПроизводствоПсихологияРелигияСоциологияСпортТехникаФизикаФилософияХимияЭкологияЭкономикаЭлектроника






Расчет с применением метода свертывания цепи





 

Условиезадачи

Источник напряжения с э. д. с. Е = 120 В и внутренним сопротивлением r 0 = 2 Ом (рис.10) включен в цепь, где r 1 = 18 Ом, r 2 = 100 Ом, r 3 = 150 Ом.

Вычислить токи во всех участках цепи, напряжения на зажимах потребителей и источника, а также мощности источника и всех потребителей.

Решениезадачи

1. Источник напряжения. В этой задаче, как и во всех предыдущих, используется источник энергии, характеризующийся величиной э. д. с. и внутренним сопротивлением. Такой источник энергии называется источником напряжения.

Как было показано э. д. с. источника обеспечивает ток в цепи и энергию в потребителях, а внутреннее сопротивление характеризует потери энергии в самом источнике.


Рис. 10.

Рис. 10 Разветвленная цепь с источником напряжения.

 

Чтобы обеспечить малые потери энергии в источнике, его внутреннее сопротивление выбирают обычно много меньшим, чем сопротивление внешнего участка цепи. Напомним, что этому условию удовлетворяли все источники энергии (аккумуляторы, генераторы и др.), использованные в предыдущих задачах.

Внутреннее сопротивление может быть указано рядом с кружочком, обозначающим источник (рис. 10, участок ГВ), или же изображено отдельно вне кружка (рис. 10).

В практических условиях часто представляется возможным пренебречь сравнительно малым внутренним сопротивлением источника. Такие источники (без внутреннего сопротивления) являются источниками заданного напряжения. Иногда их называют источниками э. д. с.

Итак, источник напряжения практически можно считать источником заданного напряжения.

2. Токи цепи. Во всех участках неразветвленной части цепи, образуемой источником э. д. с. и двумя последовательно соединенными сопротивлениями r1 и r0, ток имеет одно значение I 1 (рис. 10). Этот ток разветвляется в узловой точке А на два тока: I 2 и I 3. Последние суммируются в узловой точке Б и образуют вновь ток I 1. При этом по первому закону Кирхгофа I 1 = I 2 + I 3 что справедливо как для узла А, так и для узла Б.

3. Вычисление общего сопротивления цепи – упрощение схемы. Заменяя отдельные участки схемы с последовательными и параллельными соединениями сопротивлений их общими сопротивлениями, удается упростить или, как говорят, «свернуть» схему.

К чему мы должны стремиться, упрощая схему? Наша цель получить простую неразветвленную цепь, расчет которой уже известен.

Для этого заменим сопротивления r2 и r3 их общим со­противлением:

После такой замены (рис. 11) получается простая неразветвленная цепь.

4. Вычисление токов и напряжений. В какой последовательности ведется вычисление токов.

Прежде всего, определяем ток в упрощенной схеме (рис. 11),

Рис.11.Упрощенная схема цепи.  
а затем переходим к исходной схеме (рис.10), для которой, как было показано

или .

Рис. 11.

 

С другой стороны, в параллельных ветвях токи обратно пропорциональны сопротивлениям ветвей или

(так как U АБ = r 2 I 2 = r 3 I 3), откуда

Заменив в уравнении ток I 2 его значением, получим:

1,5 I 3 + I 3=1,5, или I 3=1,5/2,5=0,6 А.

Определим падения напряжения на всех сопротивлениях (рис. 11):

Напряжение на зажимах ВГ источника

Итак, расчет токов и напряжений проводим путем постепенного перехода от упрощенной схемы к заданной.

Как проверить, правильно ли сделаны вычисления токов и напряжений?

Для этого можно воспользоваться законами Кирхгофа.

Полученные значения токов удовлетворяют требованиям первого закона Кирхгофа, так как I 2 + I 3 = 0,9 + 0,6 = 1,5 А = I 1. Сделаем проверку по второму закону Кирхгофа, согласно которому в замкнутом контуре электрической цепи алгебраическая сумма э. д. с. () равна алгебраической сумме падений напряжений на всех сопротивлениях ().

В нашем случае сумма э. д. с. равна Е = 120 В, поскольку в цепи действует только один источник. Сумма падений напряжений U0 + U1 + U АБ = 3 + 27 + 90 = 120 В. Итак, действительно .

5. Вычисление мощности. Мощность, развиваемая источником

Вт.

Потеря мощности во внутреннем сопротивлении

Вт.

Следовательно, источник отдает во внешнюю цепь мощность

Вт.

Можно иначе вычислить эту мощность:

Вт.

С другой стороны,

P = r 1 I 12 + r 2,3 I 12 = (r 1 + r 2,3) I 12=(18 + 60) l,52=175.

Как проверить, правильно ли сделан расчет цепи?

Для этого следует составить баланс мощностей. Мощность, отдаваемая источником, Р ИР О = 175,5 Вт и мощность потребителей Р = 175,5 Вт, т. е. баланс сходится.


Дополнительные вопросы к задаче

1. Как определяется напряжение между узлами разветвленного участка цепи?

Ответ на этот вопрос рассмотрим на примере расчета узлового напряжения Uаб. В упрощенной схеме (рис. 11)

UАБ = r2,311 = 60·1,5 = 90 В

и в исходной схеме (рис. 10)

В.

Итак, напряжение между узлами разветвленного участка определяется либо как произведение тока ветви на сопротивление ветви, либо как произведение общего тока цепи на общее сопротивление разветвленного участка.

2. Как определить напряжение при помощи второго закона Кирхгофа?

Прежде всего, вспомним правило знаков при составлении уравнений по второму закону Кирхгофа. Электродвижущая сила записывается со знаком плюс, если выбранное направление обхода контура совпадает с ее направлением. Падение напряжения на сопротивлении записывается со знаком плюс, если направление тока в рассматриваемом сопротивлении совпадает с направлением обхода контура.

В соответствии с этими правилами для контура ВАБГВ (рис. 11) при его обходе по направлению движения часовой стрелки имеем:

.

Обходя этот же контур в обратном направлении (против направления движения часовой стрелки), получаем:

Оба уравнения тождественны. Из полученного уравнения

=120-3-27 = 90 В.

Получился уже известный результат.

Итак, при помощи второго закона Кирхгофа легко определить напряжение на любом участке замкнутого контура электрической цепи, если известны напряжения на других участках.

3. Может ли источник находиться во внутренней ветви схемы?

Рассмотренная в задаче цепь может иметь схемное изображение, показанное на рис. 12, отличающееся от исходной схемы (рис. 10) только тем, что разветвленный участок с источником располагается в середине. По существу это различные схемные начертания для одной и той же цепи, поэтому приведенный расчет пригоден для обеих схем.

Иногда вызывает затруднения расчет цепи (рис. 13), так как не сразу замечают, что сопротивления r 2 и r 3 присоединены к одним и тем же узловым точкам А и Б, т. е. включены параллельно, и могут быть заменены одним сопротивлением r 2,3,после чего схема принимает вид, показанный на рис. 11.

Рис. 12. Рис. 13.

 

4. Как определить токи в цепи с большим числом параллельно включенных потребителей?

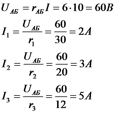
Для ответа на этот вопрос вычислим токи I1, I 2, I3 (рис. 13) трех параллельно включенных потребителей с сопротивлениями r 1 = 30 Ом, r 2 = 20 Ом и r 3 = 12 Ом, если ток I = 10 А (пунктир на рис. 13 не учитывать).

Для параллельного соединения общая проводимость.

и r АБ=6 Ом.

Общее сопротивление параллельного соединения меньше наименьшего из подключенных сопротивлений.

Напряжение между узловыми точками и токи соответственно равны:

Проверим по первому закону Кирхгофа:

Метод определения узлового напряжения для расчета токов ветвей дает быстрое решение задачи, и его преимущества возрастают с увеличением числа параллельных ветвей.

5. Как повлияет на величины токов и напряжений в цепи (рис.13) короткое замыкание зажимов сопротивления r 3?

Такой режим может возникнуть, например, в результате ошибки при монтаже (проложен лишний провод, соединяющий зажимы сопротивления r 3, как это показано на рис. 13 пунктиром) либо при повреждении сопротивления r 3 и др.


При коротком замыкании сопротивления r 3 или вообще коротком замыкании между узловыми точками А и Б (рис. 13) сопротивление одной ветви (r 3) можно принять равным нулю, а поэтому и общее сопротивление между точками А и Б rаб = 0 (см. предыдущий вопрос).

В результате и напряжение между точками А и Б (рис. 13) U АБ = rаб i = 0, общее сопротивление всей цепи (рис. 13) уменьшится, ток I возрастет, напряжение на зажимах источника U = Е – r0 I уменьшится, токи I 2 и I 1 будут равны нулю, так как в параллельно соединенных сопротивлениях общий ток распределяется обратно пропорционально сопротивлениям ветвей, т. е. практически весь ток I пройдет через ветвь, сопротивление которой принято равным нулю.

6. Какое повреждение могло случиться в цепи (рис. 13), если измерения показали, что напряжение U 1 меньше нормы, a U и U АБ больше нормы? Внезапное увеличение напряжения на зажимах источника энергии U = Е – r 0 I 1 позволяет сделать предположение (наиболее вероятное) об уменьшении тока I 1. Доказательность этого предположения возрастает, если учесть, что напряжение U 1 = r 1 I 1 также уменьшилось (по данным измерений). Но общий ток I1 уменьшается при увеличении общего сопротивления цепи, и такое увеличение могло случиться на участке цепи, где возросло напряжение. По данным измерений увеличилось напряжение U АБ. Следовательно, можно предположить увеличение общего сопротивления параллельно соединенных r 3 и r 4, что могло произойти, например, при отпайке одного из сопротивлений от зажима А или Б (рис. 13) или в результате внутреннего повреждения сопротивления (обрыва в одном из сопротивлений).

Таковы наиболее вероятные неисправности.

7. Какие неисправности можно предположить в цепи (рис. 13), если измерения показали: U1 = U; UАБ = 0?

Напряжение на участке АБ (рис. 13) может отсутствовать, если этот участок замкнут накоротко (например, соединены точки Б и А, рис.13). Допустимо и другое предположение: обрыв цепи между точками В и А (рис. 13) и как следствие отсутствие тока I 1 и равенство напряжений U = U1.

Особый интерес представляет возможная взаимосвязь повреждений. Так, случайное замыкание участка АБ (рис.13) приведет к значительному увеличению тока I1 и мощности P 1 = r1 I12 в сопротивлении r 1. При этом могут наступить перегрев сопротивления r 1, и его перегорание (обрыв).

Итак, при анализе неисправностей электрической цепи следует учитывать возможность их взаимосвязи, т. е. одно повреждение может вызвать другое.


2. Расчёт сложных цепей постоянного тока

Электрические цепи с несколькими контурами, состоящими из разных ветвей с произвольным размещением потребителей и источников энергии, называется сложными электрическими цепями.

Расчёт сложных цепей постоянного тока обычно сводится к определению величины и направления токов в отдельных ветвях при заданных значениях ЭДС и сопротивлений.


Для этого применяются специальные методы расчёта:

1. Метод узловых и контурных уравнений.

2. Метод контурных токов.

3. Метод наложения токов.

4. Метод узлового напряжения (метод двух узлов).

5. Метод эквивалентного генератора.

6. Метод эквивалентного преобразования «треугольника» и «звезды» сопротивлений.

Рассмотрим алгоритм расчёта и пример решения каждого метода:

 







Date: 2015-07-24; view: 9431; Нарушение авторских прав



mydocx.ru - 2015-2026 year. (0.329 sec.) Все материалы представленные на сайте исключительно с целью ознакомления читателями и не преследуют коммерческих целей или нарушение авторских прав - Пожаловаться на публикацию