Главная Случайная страница


Полезное:

Как сделать разговор полезным и приятным Как сделать объемную звезду своими руками Как сделать то, что делать не хочется? Как сделать погремушку Как сделать так чтобы женщины сами знакомились с вами Как сделать идею коммерческой Как сделать хорошую растяжку ног? Как сделать наш разум здоровым? Как сделать, чтобы люди обманывали меньше Вопрос 4. Как сделать так, чтобы вас уважали и ценили? Как сделать лучше себе и другим людям Как сделать свидание интересным?


Категории:

АрхитектураАстрономияБиологияГеографияГеологияИнформатикаИскусствоИсторияКулинарияКультураМаркетингМатематикаМедицинаМенеджментОхрана трудаПравоПроизводствоПсихологияРелигияСоциологияСпортТехникаФизикаФилософияХимияЭкологияЭкономикаЭлектроника






Метод эквивалентного генератора





 

Алгоритм решения:

 

1. Составление эквивалентной схемы. Всю внутреннюю часть схемы можно заменить одним источником питания с ЭДС Еэ и внутренним сопротивлением rэ. Таким образом получается простейшая цепь, в которой ток находиться по закону Ома для всей цепи

2. Вычисление параметров эквивалентного генератора.

а) С помощью режима холостого хода определяют ЭДС

б) Внутреннее сопротивление эквивалентно генератора rэ равно общему сопротивлению внутренней части цепи rобщ относительно точек А и Б.

Пример:

 

Дано: (Рис. 23)R1=R3=2 Ом; R2=1,6 Ом; E1=3,6 В; E2=4,8 В; r01=r02=0,5 Ом.

Найти: определить ток IБА в ветви БА.

Рис. 23.

 

Решение задачи

 

а)
1. Составление эквивалентной схемы. Рассматриваемую цепь можно разделить относительно узловых точек А и Б (рис. 24 а) на две части: ветвь БА, в которой нужно определить ток (назовём её внешней частью схемы), и всю остальную цепь (назовём её внутренней частью). Обе части схемы (рис. 24) соединены пунктирными линиями (АА и ББ).

 
 
 
 
E
А
Б
В
+
-
R
R
r
r
 
 
 
 
 
I
 
 
 
E
 
I
 
E
Э
R
 
А
Б
+
-

Рис. 24 а.

 

б)

Рис. 24 б.

 

По теореме об эквивалентном генераторе всю внутреннюю часть можно заменить одним источником питания с ЭДС ЕЭ и сопротивлением RЭ (рис. 24, б) и таким образом получить простую неразветвлённую цепь (рис. 25), для которой нетрудно определить ток:

.

 

Рис. 25.


В таком случае главное содержание расчёта цепи этим методом состоит в определении эквивалентных параметров (EЭ и RЭ) внутренней части цепи.

2. Вычисление параметров эквивалентного генератора. Электродвижущая сила эквивалентного генератора ЕЭ равна напряжению на зажимах внутренней части цепи UАБ (рис. 24, а) при отключенной внешней части цепи. Учитывая, что UБА имеет положительное направление т узла Б к узлу А, т.е. UБАБ – φА, можно записать, что

.

Падения напряжения на участках БВ и АВ цепи:

В,

 

где I1 и I2 – токи в цепи (рис. 24, а) при отключенной ветви БА.

Следовательно,

В.

 

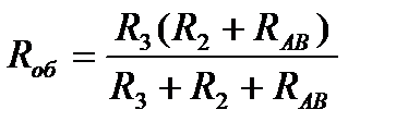
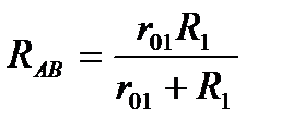
Внутреннее сопротивление эквивалентного генератора RЭ равно общему сопротивлению внутренней части цепи Rоб относительно точек А и Б (рис. 24, а) при отключенной внешней части цепи, т.е.

Ом.

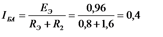
3. Вычисление тока. Ток

А.

 

* Дополнительные вопросы к задаче

1. Как вычислить ток в ветви с источником?


Методика расчёта остаётся прежней. Покажем это на примере определения тока в ветви источника с ЭДС Е2 (рис. 26).

 

а)

Рис. 26 а.


б)

Рис. 26 б.

 

Отключив эту ветвь (рис. 26, а) определяем напряжение

Для этого сначала находим ток

,

где

,

а затем

.

Ещё раз отметим, что токи I1 и I3 вычисляются при отключенной внешней цепи (ветви с ЭДС Е2). Общее сопротивление относительно точек Б и В найдём как параллельное соединение сопротивления R3 и сопротивлений R2 и RАБ, включенных относительно точек Б и В последовательно. В очередь сопротивление RАБ определяем как эквивалентное параллельное параллельному соединению сопротивлений r01 и R1 в узловых точках А и В. Итак,

;

.

 

Теперь составляем эквивалентную схему (рис. 26, б), для которой ток

.

 

2. Почему метод эквивалентного генератора называют ещё методом холостого хода и короткого замыкания? Если измерить напряжение между узловыми точками Б и А (рис. 26, а) при отключенном сопротивлении r2, т.е. в режиме холостого хода эквивалентного генератора, то получим величину ЭДС ЕЭ=UБА. Если же между точками Б и А включить амперметр, сопротивление которого мало, т.е. создать режим короткого замыкания эквивалентного генератора, то измеряемый им ток IК=EЭ/RЭ (рис. 26 при R2=0), откуда сопротивление

.

Таким образом, выполняя измерения в режимах холостого хода и короткого замыкания, можно экспериментально определить параметры эквивалентного генератора.

 







Date: 2015-07-24; view: 2010; Нарушение авторских прав



mydocx.ru - 2015-2026 year. (1.727 sec.) Все материалы представленные на сайте исключительно с целью ознакомления читателями и не преследуют коммерческих целей или нарушение авторских прав - Пожаловаться на публикацию