Главная Случайная страница


Полезное:

Как сделать разговор полезным и приятным Как сделать объемную звезду своими руками Как сделать то, что делать не хочется? Как сделать погремушку Как сделать так чтобы женщины сами знакомились с вами Как сделать идею коммерческой Как сделать хорошую растяжку ног? Как сделать наш разум здоровым? Как сделать, чтобы люди обманывали меньше Вопрос 4. Как сделать так, чтобы вас уважали и ценили? Как сделать лучше себе и другим людям Как сделать свидание интересным?


Категории:

АрхитектураАстрономияБиологияГеографияГеологияИнформатикаИскусствоИсторияКулинарияКультураМаркетингМатематикаМедицинаМенеджментОхрана трудаПравоПроизводствоПсихологияРелигияСоциологияСпортТехникаФизикаФилософияХимияЭкологияЭкономикаЭлектроника






Метод узлового напряжения





 

Потребители электрической энергии (освещения, силовая нагрузка) в различное время суток имеют неодинаковую мощность. Ночью эта мощность минимальная, утром постепенно увеличивается, достигая вечером наибольшего значения. На электростанции целесообразно иметь несколько генераторов. При малой мощности работает один генератор, с ростом мощности увеличивается число работающих генераторов.

Для увеличения мощности при неизменном напряжении генераторы включают параллельно. При этом получается сложная электрическая цепь с двумя узлами, к которым присоединяется приёмники электрической энергии.

Узловым напряжением называют напряжение между узлами такой цепи. Узловое напряжение равно разности потенциалов этих двух точек.

Для расчёта подобных сложных электрических цепей обычно используют методом узлового напряжения.

 

Алгоритм расчёта:

 

1. Найдём проводимости ветвей, которые всегда положительны.

2. Найдём узловое напряжение по формуле:

а) Выбираем одинаковое для всех ветвей направление тока от одного узла к другому.

б) ЭДС, сонаправленные току ветви, считаем положительными, а направленные противоположно – отрицательными.

3. Определяем токи в ветвях.


Рис. 21.

 

на рисунке представлена схема сложной цепи с двумя узлами. Примем за положительное направление токов во всех ветвях направление от узла Б к узлу А, то есть предположим, что все источники работают в режиме генераторов. Напряжение между узлами А и Б (узловое напряжение) обозначим U.

Оно равно разности потенциалов точек А и Б: U=φa-φb

Напряжение на зажимах генератора равно разности ЭДС и внутреннего падения напряжения U=E-Ir поэтому на первом участке ток:

где I1=(E1-U)/R1=(E1-U)g1 - проводимость первого участка.

Аналогично для участков цепи:

где общая проводимость электроприёмников.

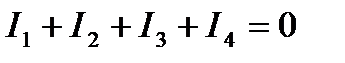
По первому закону Кирхгофа, составим уравнение для узла А:

Подставив в это уравнение найденные выражения токов, получим:

раскрыв скобки, найдём узловое напряжение:

или в общем виде:

т.е. узловое напряжение равно отношению алгебраической суммы произведений ЭДС на проводимости соответствующих ветвей к сумме проводимости всех ветвей.

 

Пример:

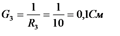
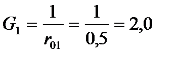
Дано: (рис. 22) Е12=230 В,r01=0,5 Ом,r02=0,4 Ом, Rэкв=R3=10 Ом.

Найти: все токи, мощности генераторов, мощности потерь на внутренних сопротивлениях, мощность потребителя R3.

Рис. 22.

Рис.22  
Решение задачи:

1. Применение метода двух узлов. В отличие от трёх предыдущих методов, применимых к любой цепи, этот метод пригоден для расчёта цепей, имеющих только два узла (при любом числе ветвей).

Цепи с двумя узлами часто встречаются на практике, и метод двух узлов значительно упрощает их расчёт.

Для расчёта применяется формула, определяющая напряжение между узловыми точками:

 

,

 

где ∑Eg – алгебраическая сумма произведений ЭДС на проводимость ветви;

∑g – сумма проводимостей ветвей.

Так, для рассматриваемой цепи (рис. 22)

 

.

 

Здесь в числителе отсутствует слагаемое E3g3, так как ЭДС в третьей ветви нет. Если бы, например, ЭДС Е2 действовала в обратном направлении, то перед слагаемым Е2g2 надо было бы поставить знак минус.

2. Вычисление узлового напряжения. Определяем проводимости ветвей:

 

См;

 

Узловое напряжение

 

 

3. Выбор положительных направлений токов. Рассматриваемая цепь (рис. 22) имеет три ветви с токами I1, I2 и I3, направления которых до расчёта цепи неизвестны (сложная цепь); поэтому надо выбрать произвольно их положительные направления (сплошные стрелки рис. 22)

4. Вычисление токов. Принятые на рис. направления токов совпадают с направлениями действия ЭДС. В таком случае узловое напряжение, или напряжение на концах ветви с ЭДС, равно разности ЭДС источника и падения напряжения на сопротивлении ветви, т.е.

 

,

 

откуда

 

По закону Ома ток

 

 

5. Вычисление мощностей. Мощности, развиваемые источниками:

 

 

Мощности потерь на внутренних сопротивлениях:

 

Вт=0,05 кВт;

Вт=0,0652

 

Мощность потребителя

 

кВт.

Составим баланс мощностей:

 

кВт;

кВт.

 

Итак,

,

чего и следовало ожидать, если расчёт выполнен правильно.

 

*Дополнительные вопросы к задаче

1. В каких случаях полезно цепь с тремя узлами преобразовать в цепь с двумя узлами?


Цепь по рис. 22 содержит три узла, её расчёт был выполнен методом наложения. Однако, преобразовав соединение сопротивлений R1, R2, R3 треугольником в соединение звездой, получим схему с двумя узлами, к которой применим метод двух узлов.

2. С какой точностью следует вычислять узловое напряжение?

В большинстве практических задач, как и в рассматриваемой, величина узлового напряжения мало отличается от величин ЭДС. Поэтому в нашем случае при ошибке всего лишь на 1% в определении UАБ, т.е. считая U'АБ=227,25 В вместо 225 В, получаем вместо значения тока I1=10 А величину I'1=(E1-U'АБ)G1=(230-227,25)2,0=5,5 A, или с ошибкой на 45%.

Этот пример показывает, что узловое напряжение следует вычислять с точностью, на два порядка большей, чем требуется для величин токов. Поэтому метод двух узлов не следует применять для цепей, у которых узловое напряжение мало отличается от величин ЭДС.

3. Какие параметры источников влияют на распределение токов в ветвях?

Для параллельной работы генераторов наиболее интересен вопрос о распределении нагрузки (тока) между ними.

Так, при Е12 получим отношении токов

 

,

 

т.е. при равных ЭДС параллельно включенных генераторов их токи обратно пропорциональны внутренним сопротивлениям.

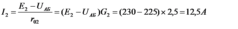
4. Как изменяется токи генераторов, если ЭДС. Е2 уменьшить на 1%? Принимая Е2=227,7 В, получаем:

 

В;

А;

А,

 

т.е. ток второго источника уменьшился с 12,5 до 9,875 А, или на 21 %.

Итак, небольшое изменение ЭДС одного из параллельно работающих генераторов приводит к значительному изменению его тока.

5. Каким образом можно полностью разгрузить один из генераторов?

Полная разгрузка генератора означает отсутствие тока в его цепи. Допустим, что в нашей задаче второй генератор разгружен, т.е. I2=(E2-UАБ)g2=0. Это возможно при условии, что E2=UАБ. Подставляя последнее равенство в формулу для узлового напряжения, получаем:

 

,

или

,

откуда

В,

т.е. при узловом напряжении 219 В второй генератор полностью разгружен или, как говорят, скомпенсирован. Такой режим получится, если уменьшить ЭДС Е2. При уменьшении ЭДС Е2 снижается и узловое напряжение При ЭДС Е2=219 В и UАБ=219 В ток I2=0.

6. В каких случаях один из параллельно включенных источников работает в режиме потребителя?

присоединяя параллельно к какому-либо генератору аккумуляторную батарею как запасной источник питания (на случай выхода из строя генератора), получаем так называемое «буферное» включение аккумулятора. Применяется оно для питания таких потребителей, которые по технологическим условиям не допускают даже кратковременного отключения источника. Допустим, что в нашей задаче первый источник – это генератор, а второй – буферная аккумуляторная батарея. Очевидно, что в нормальных условиях потребитель должен питаться только от генератора, а батарея должна работать вхолостую либо в режиме зарядки, что обеспечивается определённым превышением ЭДС генератора над ЭДС аккумулятора.

Так, например, при Е1=245 В и Е2=230 В узловое напряжение

В;

 

ток аккумулятора

А,

т.е. в этом случае ток I2 направлен навстречу ЭДС Е2 и аккумулятор работает в режиме потребителя (зарядка).

При отключении генератора аккумулятор как единственный в цепи источник питания перейдёт в режим генератора и будет питать потребитель.


 







Date: 2015-07-24; view: 4779; Нарушение авторских прав



mydocx.ru - 2015-2026 year. (1.894 sec.) Все материалы представленные на сайте исключительно с целью ознакомления читателями и не преследуют коммерческих целей или нарушение авторских прав - Пожаловаться на публикацию