Главная Случайная страница


Полезное:

Как сделать разговор полезным и приятным Как сделать объемную звезду своими руками Как сделать то, что делать не хочется? Как сделать погремушку Как сделать так чтобы женщины сами знакомились с вами Как сделать идею коммерческой Как сделать хорошую растяжку ног? Как сделать наш разум здоровым? Как сделать, чтобы люди обманывали меньше Вопрос 4. Как сделать так, чтобы вас уважали и ценили? Как сделать лучше себе и другим людям Как сделать свидание интересным?


Категории:

АрхитектураАстрономияБиологияГеографияГеологияИнформатикаИскусствоИсторияКулинарияКультураМаркетингМатематикаМедицинаМенеджментОхрана трудаПравоПроизводствоПсихологияРелигияСоциологияСпортТехникаФизикаФилософияХимияЭкологияЭкономикаЭлектроника






I. Алгоритм перевод комплексного числа из алгебраической в тригонометрическую форму





Пример:

Тригонометрическая форма комплексного числа имеет вид …

 

Решение:
Для представления комплексного числа в тригонометрической форме записи
необходимо найти его модуль и аргумент. Используя формулу , где – действительная, а – мнимая часть комплексного числа, получим:
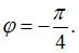
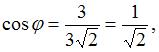
По формулам и найдем аргумент комплексного числа. Обращаем внимание на то, что под аргументом понимается его главное значение, то есть значение, удовлетворяющее условию Так как то Зная, что тригонометрическая форма комплексного числа имеет вид получим:

Ответ:

Решите самостоятельно:

1. Тригонометрическая форма комплексного числа имеет вид …

Ответ:

2. Тригонометрическая форма комплексного числа имеет вид …

 

Ответ:

3. Тригонометрическая форма комплексного числа имеет вид …

 

Ответ:

4. Тригонометрическая форма комплексного числа имеет вид …

 

 

Ответ:

5. Тригонометрическая форма комплексного числа имеет вид …

Ответ:







Date: 2015-07-02; view: 4017; Нарушение авторских прав



mydocx.ru - 2015-2026 year. (0.676 sec.) Все материалы представленные на сайте исключительно с целью ознакомления читателями и не преследуют коммерческих целей или нарушение авторских прав - Пожаловаться на публикацию