Главная Случайная страница


Полезное:

Как сделать разговор полезным и приятным Как сделать объемную звезду своими руками Как сделать то, что делать не хочется? Как сделать погремушку Как сделать так чтобы женщины сами знакомились с вами Как сделать идею коммерческой Как сделать хорошую растяжку ног? Как сделать наш разум здоровым? Как сделать, чтобы люди обманывали меньше Вопрос 4. Как сделать так, чтобы вас уважали и ценили? Как сделать лучше себе и другим людям Как сделать свидание интересным?


Категории:

АрхитектураАстрономияБиологияГеографияГеологияИнформатикаИскусствоИсторияКулинарияКультураМаркетингМатематикаМедицинаМенеджментОхрана трудаПравоПроизводствоПсихологияРелигияСоциологияСпортТехникаФизикаФилософияХимияЭкологияЭкономикаЭлектроника






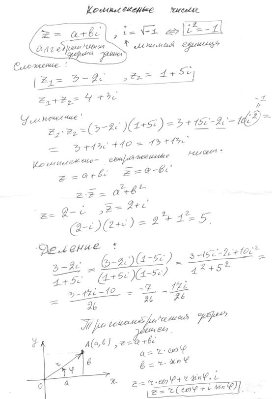
Алгебраическая форма записи комплексного числа





 

Определение. Комплексным числом z называется выражение

,

где a и b – действительные числа, iмнимая единица, которая определяется соотношением:

При этом число a называется действительной частью числа z (a = Re z), b - мнимой частью (b = Im z).

Если a =Re z =0, то число z называется чисто мнимым, если b = Im z = 0, то число z является действительным.

Множество комплексных чисел является расширением множества действительных чисел за счет включения множества мнимых чисел. Комплексные числа включают в себя все множества чисел, которые изучались ранее. Hатуральные, целые, рациональные, иррациональные, действительные числа являются частными случаями комплексных чисел.

 

Определение. Два комплексных числа и называются равными, если соответственно равны их действительные и мнимые части:

 

Определение. Комплексное число равно нулю, если соответственно равны нулю действительная и мнимая части.

Любое действительное число может быть геометрически представлено в виде точки на числовой прямой. Комплексное число представляется точкой на плоскости, координатами которой являются соответственно действительная и мнимая части комплексного числа. При этом на оси ОХ располагаются действительные числа, а на оси ОY – чисто мнимые.

Поэтому горизонтальная ось называется действительной осью, а вертикальная - мнимой осью.

 
 


у

 

A(a, b), z = a + bi

 

 

r b

j

 

О a x

 

 

Тригонометрическая форма комплексного числа.

 

Имеем связь между декартовыми координатами A(a, b) точки А и полярными координатами A(r, j)

 

.

Следовательно, комплексное число z = a+ i b можно представить в виде:

 

 

Такая запись называется тригонометрической формой записи комплексного числа.

При этом полярный радиус r точки А называется модулем комплексного числа, а полярный угол j - аргументом комплексного числа.

 

.

 

Из геометрических соображений получим:

 

 

Замечание. С помощью арктангенса угол j находится с точностью до периода тангенса (180° = p).Чтобы не сделать ошибку, записать угол не числа z, а числа –z, рекомендуется отметить положение комплексного числа на плоскости и после этого выбрать k=0 или 1, дающее верный угол.

Определение. Числа

и

называются комплексно – сопряженными.

Комплексно – сопряженные числа имеют одинаковые модули и противоположные аргументы.

Действия с комплексными числами.

 

Основные действия с комплексными числами вытекают из действий с многочленами.

1) Сложение и вычитание.

 

2) Умножение.

 

В случае комплексносопряженных чисел:

 

 

В тригонометрической форме:

,

 

3) Деление.

Умножаем числитель и знаменатель на число комплексно сопряженное знаменателю

 

В тригонометрической форме:

 

4) Возведение в степень n.

,

 

где n – целое положительное число. Это выражение называется формулой Муавра.

(Абрахам де Муавр (1667 – 1754) – английский математик)

 

5) Извлечение корня из комплексного числа.

 

Возводя в степень, получим:

Отсюда:

 

 

 

где к = 0, 1, …, n – 1.

 

Таким образом, корень n – ой степени из комплексного числа имеет n различных значений.

Показательная форма комплексного числа.

 

Если представить комплексное число в тригонометрической форме:

и воспользоваться формулой Эйлера: , то

 

Полученное равенство называется показательной формой комплексного числа.

       
 
 
   

 







Date: 2015-07-02; view: 731; Нарушение авторских прав



mydocx.ru - 2015-2026 year. (1.875 sec.) Все материалы представленные на сайте исключительно с целью ознакомления читателями и не преследуют коммерческих целей или нарушение авторских прав - Пожаловаться на публикацию