Главная Случайная страница


Полезное:

Как сделать разговор полезным и приятным Как сделать объемную звезду своими руками Как сделать то, что делать не хочется? Как сделать погремушку Как сделать так чтобы женщины сами знакомились с вами Как сделать идею коммерческой Как сделать хорошую растяжку ног? Как сделать наш разум здоровым? Как сделать, чтобы люди обманывали меньше Вопрос 4. Как сделать так, чтобы вас уважали и ценили? Как сделать лучше себе и другим людям Как сделать свидание интересным?


Категории:

АрхитектураАстрономияБиологияГеографияГеологияИнформатикаИскусствоИсторияКулинарияКультураМаркетингМатематикаМедицинаМенеджментОхрана трудаПравоПроизводствоПсихологияРелигияСоциологияСпортТехникаФизикаФилософияХимияЭкологияЭкономикаЭлектроника






Применение вычетов к вычислению интегралов





Основная теорема о вычетах:

Пусть -аналитическая функция в замкнутой области , кроме конечного числа изолированных особых точек , ,…, (полюсов или существенно особых точек). Тогда интеграл от функции по контуру , содержащему внутри себя эти точки и целиком лежащему в области , равен произведению на сумму вычетов в указанных особых точках, т.е.

. (32)

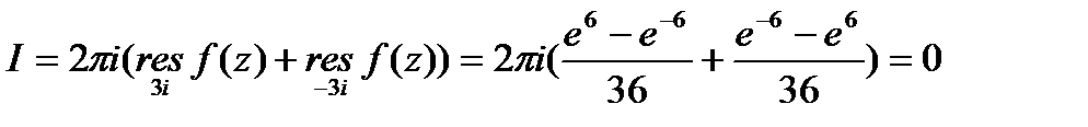
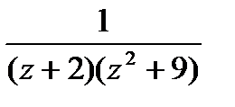
Задача 15.а). Вычислить интеграл с помощью вычетов, найденных в задаче 14.

Особые точки лежат в круге , тогда:

.

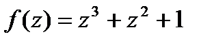
Задача 15.б). Вычислить интеграл с помощью вычетов, найденных в задаче 14.

Особые точки , .

.

 

 

Вариант 1

1. Найти сумму, разность, произведение, частное комплексных чисел и , и значение выражения . Результаты вычислений изобразить на комплексной плоскости. , .

2. Найти модуль и аргумент комплексного числа .

3. Найти и изобразить на плоскости множество значений комплексных чисел, удовлетворяющих неравенству , .

4. Представить комплексное число в тригонометрической и показательной форме: .

5. Найти значение выражения ()

а) k= 3 б) k=2/5

6. Дано . Тогда

7. Дана функция , где . Тогда

8. Найти действительную и мнимую часть .

9. Пусть , ,тогда ?

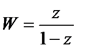
10. Заданы уравнения линий, ограничивающих область D. Найти ее образ при дробно-линейном отображении . D: , , , .

11. Найти аналитическую функцию по следующим данным: , .

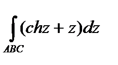
12. Вычислить интеграл , АВ: , , .

13. Разложить функцию в ряд Лорана: , .

14. Найти вычеты функций:

а) б)

 

15. Вычислить интеграл с помощью вычетов, найденных в предыдущей задаче:

а) б)

 

Вариант 2

1. Найти сумму, разность, произведение, частное комплексных чисел и , и значение выражения . Результаты вычислений изобразить на комплексной плоскости. , .

2. Найти модуль и аргумент комплексного числа .

3. Найти и изобразить на плоскости множество значений комплексных чисел, удовлетворяющих неравенству , Re z<1, Im z>-1.

4. Представить комплексное число в тригонометрической и показательной форме: .

5. Найти значение выражения ()

а) k= 4 б) k= 1/7

6. Дано . Тогда

7. Дана функция , где . Тогда

8. Найти действительную и мнимую часть .

9. Пусть , , тогда ?

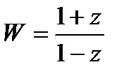
10. Заданы уравнения линий, ограничивающих область D. Найти ее образ при дробно-линейном отображении . D: , , .

11. Найти аналитическую функцию по следующим данным: , .

12. Вычислить интеграл . , .

13. Разложить функцию в ряд Лорана: , .

14. Найти вычеты функций:

а) б)

 

15. Вычислить интеграл с помощью вычетов, найденных в предыдущей задаче:

а) б)

 

Вариант 3

1. Найти сумму, разность, произведение, частное комплексных чисел и , и значение выражения . Результаты вычислений изобразить на комплексной плоскости. , .

2. Найти модуль и аргумент комплексного числа .

3. Найти и изобразить на плоскости множество значений комплексных чисел, удовлетворяющих неравенству , Re z<1, .

4. Представить комплексное число в тригонометрической и показательной форме: .

5. Найти значение выражения ()

а) k=2 б) k= 3/5

6. Дано . Тогда

7. Дана функция , где . Тогда

8. Найти действительную и мнимую часть .

9. Пусть , , тогда ?

10. Заданы уравнения линий, ограничивающих область D. Найти ее образ при дробно-линейном отображении . D: , , .

11. Найти аналитическую функцию по следующим данным: , .

12. Вычислить интеграл , АВ - отрезок прямой , .

13. Разложить функцию в ряд Лорана: , .

14. Найти вычеты функций:

а) б)

 

15. Вычислить интеграл с помощью вычетов, найденных в предыдущей задаче:

а) б)

 

Вариант 4

1. Найти сумму, разность, произведение, частное комплексных чисел и , и значение выражения . Результаты вычислений изобразить на комплексной плоскости. , .

2. Найти модуль и аргумент комплексного числа .

3. Найти и изобразить на плоскости множество значений комплексных чисел, удовлетворяющих неравенству , .

4. Представить комплексное число в тригонометрической и показательной форме: .

5. Найти значение выражения ()

а) k= 3 б) k= 4/7

6. Дано . Тогда

7. Дана функция , где . Тогда

8. Найти действительную и мнимую часть .

9. Пусть , , тогда ?

10. Заданы уравнения линий, ограничивающих область D. Найти ее образ при дробно-линейном отображении . D: , , .

11. Найти аналитическую функцию по следующим данным: , , .


12. Вычислить интеграл , АВ - отрезок прямой , .

13. Разложить функцию в ряд Лорана: , .

14. Найти вычеты функций:

а) б)

 

15. Вычислить интеграл с помощью вычетов, найденных в предыдущей задаче:

а) б)

 

Вариант 5

1. Найти сумму, разность, произведение, частное комплексных чисел и , и значение выражения . Результаты вычислений изобразить на комплексной плоскости. , .

2. Найти модуль и аргумент комплексного числа .

3. Найти и изобразить на плоскости множество значений комплексных чисел, удовлетворяющих неравенству , .

4. Представить комплексное число в тригонометрической и показательной форме: .

5. Найти значение выражения ()

а) k= 5 б) k= 1/3

6. Дано . Тогда

7. Дана функция , где . Тогда

8. Найти действительную и мнимую часть .

9. Пусть , , тогда ?

10. Заданы уравнения линий, ограничивающих область D. Найти ее образ при дробно-линейном отображении . D: , , , .

11. Найти аналитическую функцию по следующим данным: .

12. Вычислить интеграл , АВС – ломаная , , .

13. Разложить функцию в ряд Лорана: , .

14. Найти вычеты функций:

а) б)

 

15. Вычислить интеграл с помощью вычетов, найденных в предыдущей задаче:

а) б)

 

Вариант 6

1. Найти сумму, разность, произведение, частное комплексных чисел и , и значение выражения . Результаты вычислений изобразить на комплексной плоскости. , .

2. Найти модуль и аргумент комплексного числа .

3. Найти и изобразить на плоскости множество значений комплексных чисел, удовлетворяющих неравенству , Re z 1, Im z>-1.

4. Представить комплексное число в тригонометрической и показательной форме: .

5. Найти значение выражения ()

а) k= 4 б) k=2/3

6. Дано . Тогда

7. Дана функция , где . Тогда

8. Найти действительную и мнимую часть .

9. Пусть , , тогда ?

10. Заданы уравнения линий, ограничивающих область D. Найти ее образ при дробно-линейном отображении . D: , , , , .

11. Найти аналитическую функцию по следующим данным: .

12. Вычислить интеграл , АВ – отрезок прямой , .

13. Разложить функцию в ряд Лорана: , .

14. Найти вычеты функций:

а) б)

 

15. Вычислить интеграл с помощью вычетов, найденных в предыдущей задаче:

а) б)

 

Вариант 7

1. Найти сумму, разность, произведение, частное комплексных чисел и , и значение выражения . Результаты вычислений изобразить на комплексной плоскости. , .

2. Найти модуль и аргумент комплексного числа .

3. Найти и изобразить на плоскости множество значений комплексных чисел, удовлетворяющих неравенству .

4. Представить комплексное число в тригонометрической и показательной форме: .

5. Найти значение выражения ()

а) k= 5 б) k= 2/5

6. Дано . Тогда

7. Дана функция , где . Тогда

8. Найти действительную и мнимую часть .

9. Пусть , , тогда ?

10. Заданы уравнения линий, ограничивающих область D. Найти ее образ при дробно-линейном отображении . D: , , , .

11. Найти аналитическую функцию по следующим данным: .

12. Вычислить интеграл , АВ – отрезок прямой , .

13. Разложить функцию в ряд Лорана: , .

14. Найти вычеты функций:

а) б)

 


15. Вычислить интеграл с помощью вычетов, найденных в предыдущей задаче:

а) б)

 

Вариант 8

1. Найти сумму, разность, произведение, частное комплексных чисел и , и значение выражения . Результаты вычислений изобразить на комплексной плоскости. , .

2. Найти модуль и аргумент комплексного числа .

3. Найти и изобразить на плоскости множество значений комплексных чисел, удовлетворяющих неравенству , , .

4. Представить комплексное число в тригонометрической и показательной форме: .

5. Найти значение выражения ()

а) k= 3 б) k= 2/7

6. Дано . Тогда

7. Дана функция , где . Тогда

8. Найти действительную и мнимую часть .

9. Пусть , , тогда ?

10. Заданы уравнения линий, ограничивающих область D. Найти ее образ при дробно-линейном отображении . D: , , .

11. Найти аналитическую функцию по следующим данным:

.

12. Вычислить интеграл , АВС – ломаная , , .

13. Разложить функцию в ряд Лорана: , .

14. Найти вычеты функций:

а) б)

 

15. Вычислить интеграл с помощью вычетов, найденных в предыдущей задаче:

а) б)

Вариант 9

1. Найти сумму, разность, произведение, частное комплексных чисел и , и значение выражения . Результаты вычислений изобразить на комплексной плоскости. , .

2. Найти модуль и аргумент комплексного числа .

3. Найти и изобразить на плоскости множество значений комплексных чисел, удовлетворяющих неравенству , , .

4. Представить комплексное число в тригонометрической и показательной форме: .

5. Найти значение выражения ()

а) k= 3 б) k= 4/7

6. Дано . Тогда

7. Дана функция , где . Тогда

8. Найти действительную и мнимую часть .

9. Пусть , , тогда ?

10. Заданы уравнения линий, ограничивающих область D. Найти ее образ при дробно-линейном отображении . D: , , , .

11. Найти аналитическую функцию по следующим данным: .

12. Вычислить интеграл , АВ , ВС - отрезок прямой , .

13. Разложить функцию в ряд Лорана: , .

14. Найти вычеты функций:

а) б)

 

15. Вычислить интеграл с помощью вычетов, найденных в предыдущей задаче:

а) б)

 

Вариант 10

1. Найти сумму, разность, произведение, частное комплексных чисел и , и значение выражения . Результаты вычислений изобразить на комплексной плоскости. , .

2. Найти модуль и аргумент комплексного числа .

3. Найти и изобразить на плоскости множество значений комплексных чисел, удовлетворяющих неравенству , .

4. Представить комплексное число в тригонометрической и показательной форме: .

5. Найти значение выражения ()

а) k= 5 б) k= 1/3

6. Дано . Тогда

7. Дана функция , где . Тогда

8. Найти действительную и мнимую часть .

9. Пусть , , тогда ?

10. Заданы уравнения линий, ограничивающих область D. Найти ее образ при дробно-линейном отображении . D: , , , .


11. Найти аналитическую функцию по следующим данным: .

12. Вычислить интеграл , АВС – ломаная , , .

13. Разложить функцию в ряд Лорана: , .

14. Найти вычеты функций:

а) б)

 

15. Вычислить интеграл с помощью вычетов, найденных в предыдущей задаче:

а) б)

 

Вариант 11

1. Найти сумму, разность, произведение, частное комплексных чисел и , и значение выражения . Результаты вычислений изобразить на комплексной плоскости. , .

2. Найти модуль и аргумент комплексного числа .

3. Найти и изобразить на плоскости множество значений комплексных чисел, удовлетворяющих неравенству , , .

4. Представить комплексное число в тригонометрической и показательной форме: .

5. Найти значение выражения ()

а) k= 4 б) k= 2/5

6. Дано . Тогда

7. Дана функция , где . Тогда

8. Найти действительную и мнимую часть .

9. Пусть , , тогда ?

10. Заданы уравнения линий, ограничивающих область D. Найти ее образ при дробно-линейном отображении . D: , , ,.

11. Найти аналитическую функцию по следующим данным: , .

12. Вычислить интеграл , - граница области: .

13. Разложить функцию в ряд Лорана: , .

14. Найти вычеты функций:

а) б)

 

15. Вычислить интеграл с помощью вычетов, найденных в предыдущей задаче:

а)   б)

 

Вариант 12

1. Найти сумму, разность, произведение, частное комплексных чисел и , и значение выражения . Результаты вычислений изобразить на комплексной плоскости. , .

2. Найти модуль и аргумент комплексного числа .

3. Найти и изобразить на плоскости множество значений комплексных чисел, удовлетворяющих неравенству , .

4. Представить комплексное число в тригонометрической и показательной форме: .

5. Найти значение выражения ()

а) k= 5 б) k= 2/5

6. Дано . Тогда

7. Дана функция , где . Тогда

8. Найти действительную и мнимую часть .

9. Пусть , , тогда ?

10. Заданы уравнения линий, ограничивающих область D. Найти ее образ при дробно-линейном отображении . D: , , .

11. Найти аналитическую функцию по следующим данным: , .

12. Вычислить интеграл , АВС – ломаная , , .

13. Разложить функцию в ряд Лорана: , .

14. Найти вычеты функций:

а) б)

 

15. Вычислить интеграл с помощью вычетов, найденных в предыдущей задаче:

а) б)

 

Вариант 13

1. Найти сумму, разность, произведение, частное комплексных чисел и , и значение выражения . Результаты вычислений изобразить на комплексной плоскости. , .

2. Найти модуль и аргумент комплексного числа .

3. Найти и изобразить на плоскости множество значений комплексных чисел, удовлетворяющих неравенству , .

4. Представить комплексное число в тригонометрической и показательной форме: .

5. Найти значение выражения ()

а) k= 2 б) k= 3/5

6. Дано . Тогда

7. Дана функция , где . Тогда

8. Найти действительную и мнимую часть .

9. Пусть , , тогда ?

10. Заданы уравнения линий, ограничивающих область D. Найти ее образ при дробно-линейном отображении . D: , , .

11. Найти аналитическую функцию по следующим данным: , .

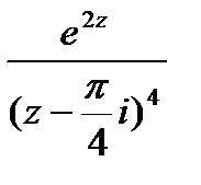
12. Вычислить интеграл , .

13. Разложить функцию в ряд Лорана: , .

14. Найти вычеты функций:

а) б)

 

15. Вычислить интеграл с помощью вычетов, найденных в предыдущей задаче:

а) б)

 

Вариант 14

1. Найти сумму, разность, произведение, частное комплексных чисел и , и значение выражения . Результаты вычислений изобразить на комплексной плоскости. , .

2. Найти модуль и аргумент комплексного числа .

3. Найти и изобразить на плоскости множество значений комплексных чисел, удовлетворяющих неравенству , .

4. Представить комплексное число в тригонометрической и показательной форме: .

5. Найти значение выражения ()

а) k= 3 б) k= 3/7

6. Дано . Тогда

7. Дана функция , где . Тогда

8. Найти действительную и мнимую часть .

9. Пусть , , тогда ?

10. Заданы уравнения линий, ограничивающих область D. Найти ее образ при дробно-линейном отображении . D: , , , .

11. Найти аналитическую функцию по следующим данным: , .

12. Вычислить интеграл , .

13. Разложить функцию в ряд Лорана: , .

14. Найти вычеты функций:

а) б)

 

15. Вычислить интеграл с помощью вычетов, найденных в предыдущей задаче:

а) б)

 

Вариант 15

1. Найти сумму, разность, произведение, частное комплексных чисел и , и значение выражения . Результаты вычислений изобразить на комплексной плоскости. , .

2. Найти модуль и аргумент комплексного числа .

3. Найти и изобразить на плоскости множество значений комплексных чисел, удовлетворяющих неравенству , , .

4. Представить комплексное число в тригонометрической и показательной форме: .

5. Найти значение выражения ()

а) k= 5 б) k= 2/3

6. Дано . Тогда

7. Дана функция , где . Тогда

8. Найти действительную и мнимую часть .

9. Пусть , , тогда ?

10. Заданы уравнения линий, ограничивающих область D. Найти ее образ при дробно-линейном ото







Date: 2015-07-02; view: 829; Нарушение авторских прав



mydocx.ru - 2015-2026 year. (0.158 sec.) Все материалы представленные на сайте исключительно с целью ознакомления читателями и не преследуют коммерческих целей или нарушение авторских прав - Пожаловаться на публикацию