Главная Случайная страница


Полезное:

Как сделать разговор полезным и приятным Как сделать объемную звезду своими руками Как сделать то, что делать не хочется? Как сделать погремушку Как сделать так чтобы женщины сами знакомились с вами Как сделать идею коммерческой Как сделать хорошую растяжку ног? Как сделать наш разум здоровым? Как сделать, чтобы люди обманывали меньше Вопрос 4. Как сделать так, чтобы вас уважали и ценили? Как сделать лучше себе и другим людям Как сделать свидание интересным?


Категории:

АрхитектураАстрономияБиологияГеографияГеологияИнформатикаИскусствоИсторияКулинарияКультураМаркетингМатематикаМедицинаМенеджментОхрана трудаПравоПроизводствоПсихологияРелигияСоциологияСпортТехникаФизикаФилософияХимияЭкологияЭкономикаЭлектроника






Основные элементарные функции комплексной переменной





1) Показательная функция.

. (15)

, .

Пример. Найти действительную и мнимую части числа .

Решение.

, (в радианах).

Запишем в тригонометрической форме:

,

(напомним, что , )

Тогда , .

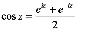
2) Тригонометрические функции.

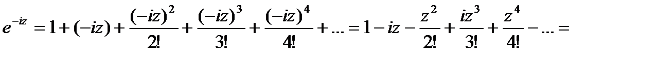
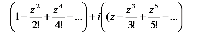
Используя разложение в ряд Тейлора функций , , , найдем разложение следующих функций:

(16)

(17)

(18)

(19)

(20)

(21)

Заметим, что

(22)

,

(домножим числитель и знаменатель на )

(23)

Тогда можно вывести формулы и .

Пример. Найти действительную и мнимую часть числа .

Решение. Воспользуемся формулами:

,

.

Тогда:

.

, .

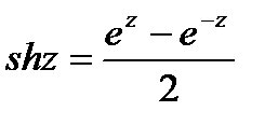
3) Гиперболические функции.

; ;

; . (24)

4) Логарифмическая функция.

(25)

Выражение называется главным значением логарифмической функции и обозначается . Таким образом,

. (26)

Видно, что функция имеет множество значений, отличающихся друг от друга на .

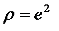
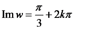
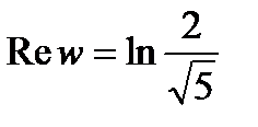
Пример. Найти действительную и мнимую часть числа .

Решение. , т.е. , .

.

.

Т.к. и лежит в первом квадранте, т.е. .

; .

5) Общая степенная и общая показательная функции:

а) , б) . (27)

Обе функции имеют множество значений, поскольку в формулу их вычисления входит функция или , которая сама по себе имеет множество значений.

Аналогично определяется .

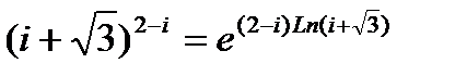
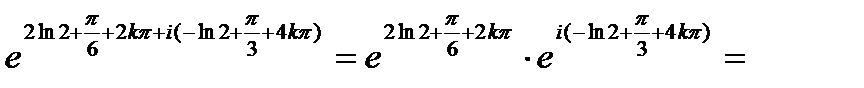
Пример. Найти действительную и мнимую часть числа .

Решение. .

Преобразуем ; ,

, ,

.

=

.

, .







Date: 2015-07-02; view: 530; Нарушение авторских прав



mydocx.ru - 2015-2026 year. (0.571 sec.) Все материалы представленные на сайте исключительно с целью ознакомления читателями и не преследуют коммерческих целей или нарушение авторских прав - Пожаловаться на публикацию