Главная Случайная страница


Полезное:

Как сделать разговор полезным и приятным Как сделать объемную звезду своими руками Как сделать то, что делать не хочется? Как сделать погремушку Как сделать так чтобы женщины сами знакомились с вами Как сделать идею коммерческой Как сделать хорошую растяжку ног? Как сделать наш разум здоровым? Как сделать, чтобы люди обманывали меньше Вопрос 4. Как сделать так, чтобы вас уважали и ценили? Как сделать лучше себе и другим людям Как сделать свидание интересным?


Категории:

АрхитектураАстрономияБиологияГеографияГеологияИнформатикаИскусствоИсторияКулинарияКультураМаркетингМатематикаМедицинаМенеджментОхрана трудаПравоПроизводствоПсихологияРелигияСоциологияСпортТехникаФизикаФилософияХимияЭкологияЭкономикаЭлектроника






Вычеты функции





Если ряд Лорана содержит главную часть, то называется изолированной особой точкой. Коэффициент называется вычетом функции относительно изолированной особой точки .

Изолированная особая точка является полюсом -го порядка, если главная часть содержит конечное число () членов разложения, т.е. имеет вид:

Замечание 1. Пусть можно представить в виде: , тогда является нулем кратности функции , и - полюс того же порядка функции .

Замечание 2. Если , то - полюс -го порядка функции .

Пусть - полюс -го порядка функции . Вычет функции относительно ее полюса -го порядка вычисляется по формуле:

- (residue-вычет), где

- производная -го порядка от функции .

Задача 14.а). Найти вычеты функции .

Решение. Т.к. знаменатель обращается в при - полюс второго порядка функции , полюс 1-го порядка.

Найдем вычет функции относительно ее полюса второго порядка () :

(производная первого порядка, т.к. )

Найдем вычет функции относительно - полюс 1-го порядка

():

(производная должна быть нулевого порядка, т.е. сама функция)

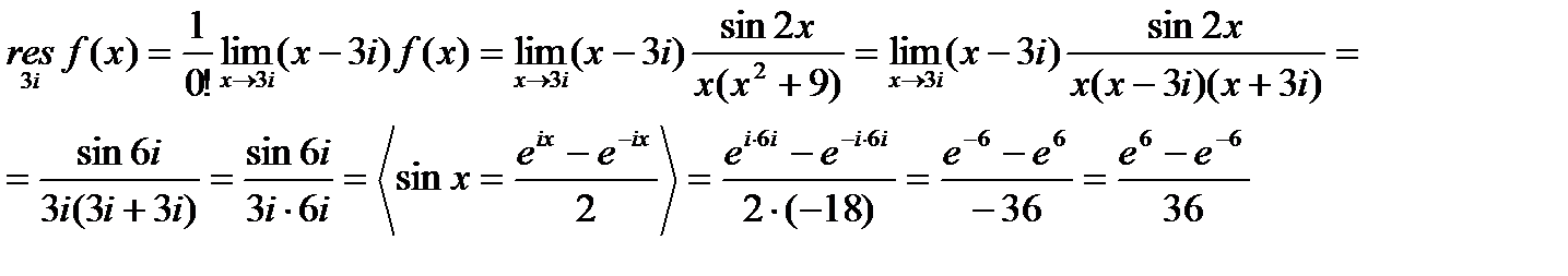
Задача 14.б. Найти вычеты функции в 0 при , , .

Решение. Знаменатель обращается в 0.

Но не является полюсом первого порядка, т.к. на основании замечания 2:

.

Итого, полюсы и .

Найдем вычеты функции относительно ее полюсов первого порядка (, , т.е. используем саму функцию при вычислении предела):

.







Date: 2015-07-02; view: 944; Нарушение авторских прав



mydocx.ru - 2015-2026 year. (1.156 sec.) Все материалы представленные на сайте исключительно с целью ознакомления читателями и не преследуют коммерческих целей или нарушение авторских прав - Пожаловаться на публикацию