Главная Случайная страница


Полезное:

Как сделать разговор полезным и приятным Как сделать объемную звезду своими руками Как сделать то, что делать не хочется? Как сделать погремушку Как сделать так чтобы женщины сами знакомились с вами Как сделать идею коммерческой Как сделать хорошую растяжку ног? Как сделать наш разум здоровым? Как сделать, чтобы люди обманывали меньше Вопрос 4. Как сделать так, чтобы вас уважали и ценили? Как сделать лучше себе и другим людям Как сделать свидание интересным?


Категории:

АрхитектураАстрономияБиологияГеографияГеологияИнформатикаИскусствоИсторияКулинарияКультураМаркетингМатематикаМедицинаМенеджментОхрана трудаПравоПроизводствоПсихологияРелигияСоциологияСпортТехникаФизикаФилософияХимияЭкологияЭкономикаЭлектроника






Формула Эйлера





Воспользуемся разложением в ряд Тейлора-Маклорена функций:

В последнюю формулу вместо подставим :

(9)

Тогда - формула Эйлера.

Подставив в формулу , получим соотношение между числами: .

А именно ,

Используя формулу Эйлера, была получена показательная форма комплексного числа:

(10)

Тогда: (11)

Последнее равенство подтверждает правило для вычисления произведения комплексных чисел: модули перемножаются, аргументы суммируются.

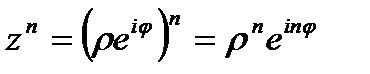
Используя формулу произведения комплексных чисел в а) показательной и б) тригонометрической формах, легко получить форму возведения в степень:

а) ,

б) - формула Муавра (12)

Аналогично . (13)

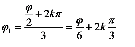
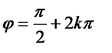
Следует заметить, что для нахождения угла требуется учитывать не только полярный угол , но и период , т.е. . (14)

Задача 5.1. Найти значение выражения , для ; а) ; б) .

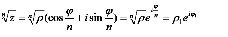
Решение. По формуле (6) . Воспользовавшись формулой (7), получим: . Запишем заданное число в показательной форме: .

Найдем .

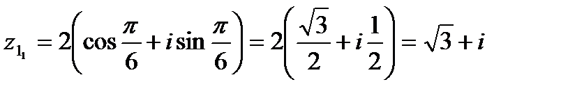
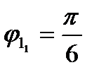
а) .

Рис.11
б) .

Тогда, если : ;

: ;

: - графическое изображение совпадает с , все следующие углы будут повторять уже найденные.

Итого, .

Задача 5.2. Найти .

Решение. . По формулам (6) и (7) получим:

, , .

.

По формуле (14) получим: .

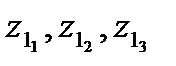
Тогда:

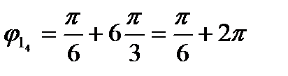
: ;

: ;

Рис.12
: ;

: - графическое изображение совпадает с . Т.к. для всех корней () они лежат на окружности радиуса 2.

Найдем алгебраическую форму этих корней:

;

;

.







Date: 2015-07-02; view: 588; Нарушение авторских прав



mydocx.ru - 2015-2026 year. (5.119 sec.) Все материалы представленные на сайте исключительно с целью ознакомления читателями и не преследуют коммерческих целей или нарушение авторских прав - Пожаловаться на публикацию