Главная Случайная страница


Полезное:

Как сделать разговор полезным и приятным Как сделать объемную звезду своими руками Как сделать то, что делать не хочется? Как сделать погремушку Как сделать так чтобы женщины сами знакомились с вами Как сделать идею коммерческой Как сделать хорошую растяжку ног? Как сделать наш разум здоровым? Как сделать, чтобы люди обманывали меньше Вопрос 4. Как сделать так, чтобы вас уважали и ценили? Как сделать лучше себе и другим людям Как сделать свидание интересным?


Категории:

АрхитектураАстрономияБиологияГеографияГеологияИнформатикаИскусствоИсторияКулинарияКультураМаркетингМатематикаМедицинаМенеджментОхрана трудаПравоПроизводствоПсихологияРелигияСоциологияСпортТехникаФизикаФилософияХимияЭкологияЭкономикаЭлектроника






Производная функции комплексного переменного





Если в точке существует предел , то он называется производной функции в точке и обозначается или .

Если в точке функция имеет производную , то говорят, что функция дифференцируема в точке .

Функция , дифференцируемая в каждой точке некоторой области и имеющая в этой области непрерывную производную , называется аналитической в области .

Если функция дифференцируема в точке , то в этой точке существуют частные производные , , , , причем эти производные связаны условиями:

; , (28)

которые называются условиями Коши-Римана.

Условия Коши-Римана являются необходимыми условиями дифференцируемости функции в точке .

Верно и обратное утверждение: если частные производные , , , непрерывны в точке и условия Коши-Римана (28) выполнены, то функция дифференцируема, а следовательно и аналитична, в точке .

Производная функции при выполнении условий (28) может быть записана соответственно:

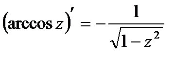
Производные элементарных функций вычисляются по тем же формулам, что и для действительного аргумента:

 

Задача 9. Пусть , . Найти .

Решение. Найдем производную, используя формулу для , учитывая, что данная функция является сложной:

.

Тогда

.

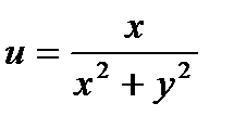
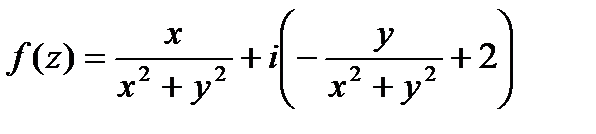
Задача 10. Найти аналитическую функцию по следующим данным:

, .

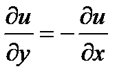
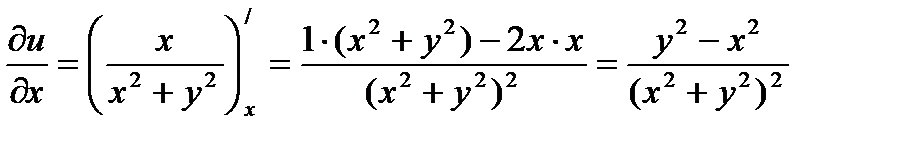
Решение. Т.к. является более сложной функцией, чем , воспользуемся сначала вторым условием Коши-Римана: .

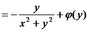
Т.е.

, где - произвольная функция от переменной .

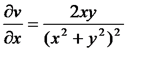
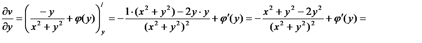
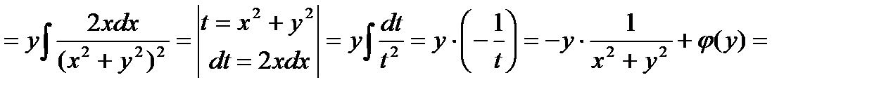
Теперь воспользуемся первым условием Коши-Римана: .

.

.

Приравнивая полученные выражения и , получим

.

Тогда .

Воспользуемся условием: при (), получим:

. Тогда .







Date: 2015-07-02; view: 478; Нарушение авторских прав



mydocx.ru - 2015-2026 year. (2.474 sec.) Все материалы представленные на сайте исключительно с целью ознакомления читателями и не преследуют коммерческих целей или нарушение авторских прав - Пожаловаться на публикацию