Главная Случайная страница


Полезное:

Как сделать разговор полезным и приятным Как сделать объемную звезду своими руками Как сделать то, что делать не хочется? Как сделать погремушку Как сделать так чтобы женщины сами знакомились с вами Как сделать идею коммерческой Как сделать хорошую растяжку ног? Как сделать наш разум здоровым? Как сделать, чтобы люди обманывали меньше Вопрос 4. Как сделать так, чтобы вас уважали и ценили? Как сделать лучше себе и другим людям Как сделать свидание интересным?


Категории:

АрхитектураАстрономияБиологияГеографияГеологияИнформатикаИскусствоИсторияКулинарияКультураМаркетингМатематикаМедицинаМенеджментОхрана трудаПравоПроизводствоПсихологияРелигияСоциологияСпортТехникаФизикаФилософияХимияЭкологияЭкономикаЭлектроника






Ряды Лорана





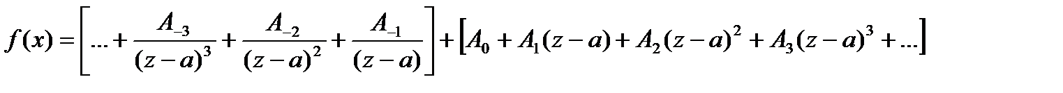
Пусть - однозначная и аналитическая функция в кольце . Эта функция в указанном кольце может быть представлена в виде суммы ряда

(30)

Ряд в правой части равенства называется разложением в ряд Лорана функции . Коэффициенты этого ряда вычисляются по формуле:

, . (31)

Заметим, что ряд Лорана состоит их двух частей:

Ряд, стоящий в первой скобке, называется главной частью ряда Лорана, а ряд во второй скобке – правильной частью ряда Лорана.

Вычисление коэффициентов с помощью интегралов (31) часто бывает достаточно сложным. Поэтому для разложения функций в ряды Лорана используют искусственные приемы. Например, для разложения некоторых функций используют разложение в ряд Тейлора, а для разложения рациональных дробей используют сначала разложение на простые дроби, а затем используют формулу суммы бесконечно убывающей геометрической прогрессии (, где -первый член геометрической прогрессии, - знаменатель).

Задача 13.1. Разложить функцию в ряд Лорана в кольце .

Решение. Найдем разложение в ряд Тейлора функции , учитывая, что

, , тогда

Следовательно:

-разложение в ряд Лорана указанной функции.

Задача 13.2. Разложить функцию в ряд Лорана в кольце .

Решение. Разложим дробь на элементарные дроби:

.

Т.к. в условии указано кольцо , то разложение нужно искать по степеням (если указано кольцо , тогда разложение по степеням ). В таком случае дробь -уже является разложением в ряд Лорана.

Дробь представим как сумму бесконечно убывающей геометрической прогрессии: , (т.к. из условия задачи , то что прогрессия с -убывающая):

Итого, разложение указанной функции в ряд Лорана имеет вид:







Date: 2015-07-02; view: 1628; Нарушение авторских прав



mydocx.ru - 2015-2026 year. (1.559 sec.) Все материалы представленные на сайте исключительно с целью ознакомления читателями и не преследуют коммерческих целей или нарушение авторских прав - Пожаловаться на публикацию