Главная Случайная страница


Полезное:

Как сделать разговор полезным и приятным Как сделать объемную звезду своими руками Как сделать то, что делать не хочется? Как сделать погремушку Как сделать так чтобы женщины сами знакомились с вами Как сделать идею коммерческой Как сделать хорошую растяжку ног? Как сделать наш разум здоровым? Как сделать, чтобы люди обманывали меньше Вопрос 4. Как сделать так, чтобы вас уважали и ценили? Как сделать лучше себе и другим людям Как сделать свидание интересным?


Категории:

АрхитектураАстрономияБиологияГеографияГеологияИнформатикаИскусствоИсторияКулинарияКультураМаркетингМатематикаМедицинаМенеджментОхрана трудаПравоПроизводствоПсихологияРелигияСоциологияСпортТехникаФизикаФилософияХимияЭкологияЭкономикаЭлектроника






Решение радиального уравнения





 

Запишем радиальное уравнение (10.16) с кулоновским потенциалом (11.1):

 

+%\E+]R o (11.2)

dr h2 L r 2p.r J v '

Для упрощения уравнения перейдем к безразмерной переменной

 

 

р=—, где а= j — постоянная, называемая боровским радиусом.

Расчет дает на основании известных констант ћ, μ, x, e следующее ее значение: а = 0,52*10-8 см ~ 0,5 A. Эта величина определяет порядок расстояний в атоме.

Введем также обозначения:

b& (1L3)

Постоянная Ry имеет размерность энергии: ее значение Ry~ 13,6 эВ

дает порядок энергии электрона в атоме.

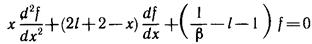
Нашей целью является изучение связанных состояний электрона, для которых E<0, а β2>0, причем β— величина безразмерная и действительная. После подстановки β и ρ в уравнение (11.2) получаем новое уравнение

 

 

Это уравнение и необходимо решить для нахождения искомой радиальной функции в поставленной выше задаче об атоме водорода.

Уравнение является дифференциальным уравнением второго порядка, причем коэффициенты при –dR/dρ и R в нем — функции ρ. Решение таких уравнений с переменными коэффициентами —довольно сложная математическая задача, разрешаемая с помощью метода степенных рядов. Приведем сначала результаты решения (ниже оно прослежено в основных чертах).

Уравнение (11.4) имеет удовлетворяющие необходимому условию квадратичной интегрируемой функции состояния решения, если выполняется равенство

 

nr +l +1 = 1/β

 

где nr= 0, 1, 2,... носит название радиального квантового числа.

Обычно вводится главное квантовое число nn соотношением

 

n = nr + 1+1, (11.6)

 

откуда с учетом значений l видно, что

 

n=1, 2, 3,

 

Из формулы (11.5) с учетом (11.6) и обозначения {5 в формуле

(11.3) следует формула энергии:

Еп=-%£. (П-7)

Энергия стационарных состояний квантуется главным квантовым числом n. Оно же входит и в функции стационарных состояний через радиальный множитель — решение уравнения (11.4). Мы записываем его, возвращаясь к исходной переменной r:

 

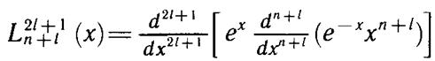
Здесь L — полиномы переменной величины x = 2r/na, вычисляющиеся

по полиномообразующей формуле(они называются полиномами Лагерра):

 

если 2r/na = х, то

] (П.9)

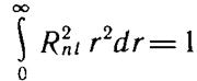
Функции Rnl нормированы на единицу условием

оо

\R2nlr2dr=l. (11.10)

о

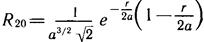
Приведем в качестве примеров радиальные волновые функции

для основного и ближайших к нему возбужденных состояний:

—-—е~^а, (11.11)

2а5'2 т/6

117

рядка, причем коэффициенты при -^ и R в нем — функции р. Решение таких уравнений с переменными коэффициентами —довольно сложная математическая задача, разрешаемая с помощью метода степенных рядов. Приведем сначала результаты решения (ниже оно прослежено в основных чертах).

Уравнение (11.4) имеет удовлетворяющие необходимому условию квадратичной интегрируемой функции состояния решения, если выполняется равенство

где пг = 0, 1, 2,... носит название радиального квантового числа.

Обычно вводится главное квантовое число п соотношением

П = Пг + 1+\, (11.6)

откуда с учетом значений I видно, что

я=1, 2, 3,

Из формулы (11.5) с учетом (11.6) и обозначения {5 в формуле

(11.3) следует формула энергии:

Еп=-%£. (П-7)

Энергия стационарных состояний квантуется главным кванто-

квантовым числом п. Оно же входит и в функции стационарных состояний

через радиальный множитель — решение уравнения (11.4). Мы

записываем его, возвращаясь к исходной переменной г:

Здесь L — полиномы переменной величины —, вычисляющиеся

г па

по полиномообразующей формуле: если — = х, то

] (П.9)

(они называются полиномами Лагерра).

Функции Rni нормированы на единицу условием

оо

\R2nlr2dr=l. (11.10)

о

Приведем в качестве примеров радиальные волновые функции для основного и ближайших к нему возбужденных состояний:

 

 

—-—е~^а, (11.11)

2а5'2 т/6

Можно показать, что радиальные функции имеют n - l -1 узлов — пересечений с осью r в интервале (0, оо).

Проследим за принципиальными этапами решений радиального уравнения. Прежде чем искать функцию R (ρ) в виде степенного ряда, обеспечим достаточно «хорошее» поведение решения при ρ->-оо: нужно, чтобы R (ρ) стремилось к нулю.

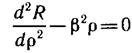
Если ρ->-оо, то уравнение (11.4) асимптотически стремится к виду

Это асимптотическое уравнение имеет решение, обращающееся в нуль на бесконечности:


Далее оно будет принято во внимание при поисках вида решения уравнения

 

(11.4).

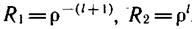
Надо также исключить возможную сингулярность — бесконечно большое значение R (ρ) при ρ-»0. Если ρ->0, то уравнение (11.4) может быть записано приближенно:

Это асимптотическое уравнение имеет два решения:

 

/?i=p-(' + I), -/?2 = р', (11.12)

причем первое следует отбросить, так как R1 -> 0 при ρ ->оо.

Итак, асимптотика решения уравнения (11.4) определяется найденными функциями. Основываясь на этом, ищем функцию R (ρ) в виде

Л(р) = е-ррр7(р). (11.13)

где f (p) — новая неизвестная функция. Подстановка предполагаемого решения

(11.13) в уравнение (11.4) приводит к следующему в нашей цепи уравнению для

неизвестной функции f (ρ):

(11.14)

Сделаем замену переменных в уравнении (11.14), упрощающую его:

х = 2βρ.

Получается

. (11.15)

 

Это уравнение решаем по методу степенного ряда, т. е. ищем решение в виде

(11.16)

 

Подставляя ряд (11.16) в уравнение (11.15), имеем

(11.17)

Чтобы ряд (11.16) был решением уравнения (11.15), необходимо выполнение pавенства (11.17) при всех значениях х, т. е. обращение его в тождество. А последнее возможно, если сумма коэффициентов при любой степени переменной будет равна нулю.

Выпишем все слагаемые в левой части равенства (11.17), содержащие хк

(k = 0, 1, 2,...). В первой сумме это слагаемые с j = k+1, во второй — с сомножителем

(2l+ 2) — также с j = k+1, все остальные члены берем с j = k:

 

Отсюда вытекает условие, которому должны удовлетворять коэффициенты

ряда (11.16):

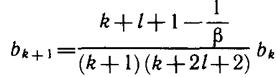
Итак, решение уравнения (11.5) найдено: это бесконечный степенной ряд, коэффициенты которого вычисляются по рекуррентной формуле (11.18), а b0 берется произвольно н играет роль постоянной интегрирования. Но анализ показывает, что ряд (11.16) с коэффициентами (11.18) при х-»оо расходится, и притом настолько быстро, что функция R (r), задаваемая соотношением (11.13), тоже обращается в бесконечность. Поэтому решение в виде бесконечного степенного ряда не удовлетворяет физическим условиям — функция состояния электрона должна быть всюду ограниченной и затухающей на бесконечности.

Решения, удовлетворяющие требованиям ограниченности, можно получить из

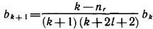
бесконечного ряда: часть его (полином некоторой степени пr) также является решением уравнения (11.4), так как его коэффициенты удовлетворяют рекуррентной формуле. Поэтому обрываем ряд на члене bnrхnr, т. е. bnr/=0, а все последующие коэффициенты: bnr+1 = 0. С помощью формулы (11.18) имеем условие обрыва ряда:

(11.19)

где nr = 0, 1, 2,... иосит название радиального квантового числа.

Далее, как об этом уже говорилось, формула (11.19) приводит к квантованию

энергии. Здесь же покажем; как вычисляются искомые полиномы. Рекуррентная

формула с учетом условия (11.19) приобретает внд

 

 

Здесь k — текущий индекс рассчитываемого коэффициента, а nr — индекс (и степень) старшего члена. Задаваясь произвольным значением коэффициента b0, для каждого nr находим все коэффициенты bк. Записываем полином:

 

Он определяется двумя параметрами: nr н l.


Но есть и другой путь. Если подставить значение ρ, найденное из условия обрыва

ряда (11.19), выраженное через главное квантовое число

1/β =n

в уравнение (11.15), то получим уравнение

 

Оно может быть сведено к известному в математике уравнению Лагерра, а решение

его—полиномы Лагерра L2n+1n+l (x)— определяется сравнительно простой в использовании для вычислений полнномообразующей формулой (11.9), приведенной выше.

Понятно, что они с точностью до постоянного множителя совпадают с ранее рассмотренным Llnr. (Множитель значения для нас не имеет, так как функции будут

нормироваться.)

Для получения окончательного результата — решения радиального уравнения —

надо перейти к первоначальной переменной r с помощью использованных подстановок:

 

Отсюда с учетом формул (11.19) и (11.6)

 

Теперь, предусматривая в решении (11.13) исходного радиального уравнения

(11.4) нормировочный множитель Nnl, имеем окончательно

Эта формула и приведена ранее — (11.8) — с вычисленным нормировочным множителем. Радиальное уравнение решено.







Date: 2015-05-19; view: 803; Нарушение авторских прав



mydocx.ru - 2015-2026 year. (0.946 sec.) Все материалы представленные на сайте исключительно с целью ознакомления читателями и не преследуют коммерческих целей или нарушение авторских прав - Пожаловаться на публикацию