Главная Случайная страница


Полезное:

Как сделать разговор полезным и приятным Как сделать объемную звезду своими руками Как сделать то, что делать не хочется? Как сделать погремушку Как сделать так чтобы женщины сами знакомились с вами Как сделать идею коммерческой Как сделать хорошую растяжку ног? Как сделать наш разум здоровым? Как сделать, чтобы люди обманывали меньше Вопрос 4. Как сделать так, чтобы вас уважали и ценили? Как сделать лучше себе и другим людям Как сделать свидание интересным?


Категории:

АрхитектураАстрономияБиологияГеографияГеологияИнформатикаИскусствоИсторияКулинарияКультураМаркетингМатематикаМедицинаМенеджментОхрана трудаПравоПроизводствоПсихологияРелигияСоциологияСпортТехникаФизикаФилософияХимияЭкологияЭкономикаЭлектроника






Заряженных частиц, связанных электростатическим взаимодействием





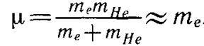
К ним относятся одноэлектронные ионы всех атомов, позитроний (система из электрона и позитрона), антиатомы, состоящие из антипротонов и позитрона, мюоний (протон и мюон) и т. д.

Так же как и для водорода, относительное движение частиц сводится к движению одной частицы с массой, равной приведенной массе системы μ, в центрально-симметричном кулоновском поле неподвижного притягивающего центра. Потенциальная энергия

частицы задается выражением

 

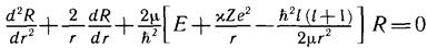
Запишем радиальное уравнение (10.16) для водородоподобной системы:

 

 

Оно только значениями постоянных отличается от аналогичного уравнения для атома водорода. Если ввести обозначения-

 

 

 

и сделать замену переменной r на ρ=r/a, то придем к уравнению (11.4) в теории атома водорода.

Поэтому все результаты решения задачи об атоме водорода полностью переносятся на водородоподобные системы. Следует только во всех формулах заменить постоянные а и Ry на а' и Ry'.

Например, для иона гелия Не+ (Z = 2),

Уровни энергии определяются формулой

Стационарные состояния характеризуются теми же квантовыми числами n, l и m, и они имеют тот же физический смысл. Сохраняются общий вид и структура волновых функций (с учетом замены а на а').







Date: 2015-05-19; view: 649; Нарушение авторских прав



mydocx.ru - 2015-2026 year. (0.512 sec.) Все материалы представленные на сайте исключительно с целью ознакомления читателями и не преследуют коммерческих целей или нарушение авторских прав - Пожаловаться на публикацию