Главная Случайная страница


Полезное:

Как сделать разговор полезным и приятным Как сделать объемную звезду своими руками Как сделать то, что делать не хочется? Как сделать погремушку Как сделать так чтобы женщины сами знакомились с вами Как сделать идею коммерческой Как сделать хорошую растяжку ног? Как сделать наш разум здоровым? Как сделать, чтобы люди обманывали меньше Вопрос 4. Как сделать так, чтобы вас уважали и ценили? Как сделать лучше себе и другим людям Как сделать свидание интересным?


Категории:

АрхитектураАстрономияБиологияГеографияГеологияИнформатикаИскусствоИсторияКулинарияКультураМаркетингМатематикаМедицинаМенеджментОхрана трудаПравоПроизводствоПсихологияРелигияСоциологияСпортТехникаФизикаФилософияХимияЭкологияЭкономикаЭлектроника






Закон сохранения энергии





Рассмотрим замкнутую систему или систему, находящуюся в независящем от времени потенциальном поле U(x, y, z). Для такой системы все моменты времени физически эквивалентны, поэтому оператор Гамильтона явно не зависит от времени тогда в соответствии с квантовыми уравнениями движения Гамильтона

. (6)

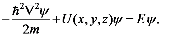
и полная энергия системы является интегралом движения. Таким образом, как и в классической механике, закон сохранения энергии в квантовой механике непосредственно связан с однородностью времени. Физический смысл закона сохранения энергии в квантовой механике состоит в том, что если в данном состоянии полная энергия имеет определенное значение, то это значение сохраняется с течением времени. Состояние, в котором энергия имеет определенные значения, называется стационарным; оно является решением стационарного уравнения Шредингера

 







Date: 2015-05-19; view: 632; Нарушение авторских прав



mydocx.ru - 2015-2026 year. (1.238 sec.) Все материалы представленные на сайте исключительно с целью ознакомления читателями и не преследуют коммерческих целей или нарушение авторских прав - Пожаловаться на публикацию