Главная Случайная страница


Полезное:

Как сделать разговор полезным и приятным Как сделать объемную звезду своими руками Как сделать то, что делать не хочется? Как сделать погремушку Как сделать так чтобы женщины сами знакомились с вами Как сделать идею коммерческой Как сделать хорошую растяжку ног? Как сделать наш разум здоровым? Как сделать, чтобы люди обманывали меньше Вопрос 4. Как сделать так, чтобы вас уважали и ценили? Как сделать лучше себе и другим людям Как сделать свидание интересным?


Категории:

АрхитектураАстрономияБиологияГеографияГеологияИнформатикаИскусствоИсторияКулинарияКультураМаркетингМатематикаМедицинаМенеджментОхрана трудаПравоПроизводствоПсихологияРелигияСоциологияСпортТехникаФизикаФилософияХимияЭкологияЭкономикаЭлектроника






Особенности запирания тиристорных ключей





 

Основные типы тиристорных ключей различаются способами и особенностями выключения, что оказывает существенное влияние на схемотехнику силового устройства и его характеристики [2,3]. Известны следующие способы запирания:

1. Прерывание силового тока путем размыкания цепи или шунтировки ключа (рис. 4.32). Данный метод может быть применен к любому тиристору с регенеративным механизмом включения, однако сопровождается высоким значением dV/dt в схеме.

2. Принудительная коммутация путем подключения дополнительного источника питания, обеспечивающего протекание выходного обратного тока (рис. 4.33). Методы принудительной коммутации подразделяются на несколько классов и применяются к однооперационным тиристорам SCR.

3. Выключение по цепи управления, свойственное только двухоперационным тиристорам. При этом используется либо воздействие импульсов отрицательного тока управления (GTO, GCT), либо положительное смещение в цепи изолированного затвора (МСТ с р-проводимостью) (рис. 4.34).

4. Комбинированные методы выключения, осуществляемые совместным воздействием импульсов обратного напряжения и отрицательного тока управления (рис. 4.35).

а б

Рис. 4.32 Рис. 4.33

 

а б

Рис. 4.34 Рис. 4.35

Данные методы применяются для специальных типов тиристоров, называемых GATT (Gate Assisted Turn-off Thyristor) (отечественное наименование КВТ — комбинированно выключаемый тиристор), которые, однако, практически полностью заменены на двухоперационные приборы.

Типовая диаграмма выключения однооперационного тиристора методом принудительной коммутации представлена на рис. 4.36.

Данный способ коммутации используется в схемах, аналогичных представленной на рис.4.34.

В первый момент времени (t = 0) включается вспомогательный ключ, и обратное напряжение конденсатора Со прикладывается к индуктивности выключающей цепи Lo.

При этом анодный ток основного тиристора начинает уменьшаться от максимального значения со скоростью .

В момент времени t1 анодный ток проходит через ноль и меняет знак, что означает начало рассасывания граничных зарядов эмиттерных переходов (см. раздел 2.3.1). При t = t2 обратный анодный ток достигает максимального значения IR(max), а к анодному переходу тиристора прикладывается отрицательное напряжение, т.е. переход восстанавливает обратную блокирующую способность. Интервал времени от момента перехода анодного тока через ноль до момента, когда обратный ток снижается до 10% от пикового значения, называется временем восстановления запирающей способности тиристора в обратном направлении trr. Практически время trr составляет только часть полного времени восстановления ключа, необходимого для достижения запирающей способности тиристора в прямом направлении tf r.

После момента восстановления блокирующей способности анодного перехода (t = t2) обратное напряжение на тиристоре определяется индуктивностью Lo и скоростью спада обратного тока. Скорость спада зависит от внутренних параметров прибора и при очень резком восстановлении может приводить к большим всплескам обратного напряжения:

(4.68)

где τ — постоянная времени спада обратного тока.

В рассматриваемой схеме коммутации напряжение на тиристоре после восстановления обратной блокирующей способности начинает смещаться в положительное направление за счет процесса перезаряда конденсатора Со через сопротивление нагрузки. Интервал времени, в течение которого тиристор находится под обратным напряжением, называется схемным временем восстановления tc. Время, предоставляемое схемой для восстановления управляемости тиристора, должно быть всегда больше реального времени выключения тиристора tOFF. которое обычно приводится в справочных данных. Чтобы определить влияющие факторы на параметр tOFF и грамотно выбрать величину схемного времени tc, необходимо провести количественную оценку длительности переходного процесса выключения.

Перед выключением тиристора в его базовых областях накапливается начальный заряд Q0, который полагают пропорциональным прямому анодному току:

(4.69)

где k1 — коэффициент пропорциональности.

Рис. 4.36

Тиристор полностью восстанавливает управляемость в момент времени, когда накопленный заряд уменьшается до некоторой минимальной величины, называемой критическим зарядом Qк. Заряд Qк определяется из условий возможности развития регенеративного процесса с учетом дополнительных факторов, определяемых схемой применения. В отсутствии внешних воздействий начало регенеративного процесса можно определить минимальным зарядом, который зависит от характеристики цепи управления тиристором:


(4.70)

где к2 – коэффициент пропорциональности;

IGST – статический ток управления, при котором развивается регенеративный процесс.

При выключении тиристора в режиме малых токов накопленный заряд уменьшается только за счет процесса рекомбинации, так как в данном режиме выключение тиристора эквивалентно запиранию насыщенного транзистора с оборванной базой:

(4.71)

где τL— время жизни носителей в режиме малых токов, при низком уровне инжекции в р-базе.

При выключении в режиме больших токов накопленный заряд частично выводится обратным током, однако этот эффект значительно ослабевает при использовании цепей коммутации с конечным внутренним сопротивлением. На практике режим больших токов учитывается снижением постоянной времени рекомбинации накопленного заряда:

(4.72)

где τН — время жизни носителей в режиме больших токов, при высоком уровне инжекции в р-базе.

Таким образом, время выключения тиристора можно определить из yсловия Q(t) = QMIN:

(4.73)

Главными критическими факторами, влияющими на запирающие свойства тиристора, являются динамические воздействия тока и напряжения.

Их учет сводится к увеличению времени восстановления полной блокирующей способности тиристора, а также применению при расчете максимальной рабочей частоты ключа параметра tFR вместо схемного времени tc. При воздействии эффекта dV/dt в базы тиристора вносится дополнительный заряд через емкость обратной связи, что уменьшает величину критического заряда:

(4.74)

где V — полное изменение прямого анодного напряжения;

С — емкость центрального перехода.

При этом время выключения возрастает:

(4.75)

Воздействие di/dt на интервале включения повышает температуру перехода, что увеличивает накопленный заряд. Скорость уменьшения прямого анодного тока при коммутации влияет на величину начального заряда к моменту времени t1 (Q(t1) < Qо).

Общее схемное время восстановления в прямом направлении согласно рис. 4.37 можно выразить суммой (при условии tc≥tOFF):

(4.76)

Тогда максимальная рабочая частота определяется из условия:

(4.77)

Где tP – время прямой проводимости ключа;

- скважность импульса прямого тока.

Для однооперационных тиристоров максимальная частота обычно не превышает 10...20 кГц и сильно зависит от изменения времени выключения тиристора tOFF. Рассмотренный анализ позволяет определить основные схемные факторы воздействия на параметр tOFF, приводящие к его увеличению и соответственно к ухудшению частотных свойств схемы:

1. Увеличение температуры перехода.

2. Увеличение амплитуды тока нагрузки.

3. Увеличение скорости спада прямого тока.

4. Уменьшение максимального обратного тока.

5. Уменьшение обратного напряжения коммутации.

6. Увеличение скорости нарастания прямого напряжения.

7. Увеличение амплитуды прямого запираемого напряжения. Диаграммы выключения запираемого тиристора GTO представлены на рис. 4.37.

В переходном процессе можно выделить несколько основных этапов:

1. Интервал t < t0. Тиристор находится в открытом состоянии, и в цепи нагрузки протекает прямой ток IA.


Рис. 4.37

2. Интервал t0 — t1.В момент времени t0 начинается процесс нарастания отрицательного тока управления, скорость изменения которого определяется индуктивностью запирающего канала драйвера. В течение данного интервала напряжение на управляющем электроде близко к нулевому уровню и постепенно возрастает из-за увеличения запирающего тока и поперечного сопротивления базового слоя. Анодный ток и напряжение на ключе практически неизменны.

3. Интервал t1 — t2. В момент времени t1 происходит экстракция достаточного заряда по цепи управления для прерывания регенеративного процесса в структуре тиристора. Анодный ток ключа спадает достаточно быстро, а ток нагрузки частично переходит в демпфирующую цепь. Наличие паразитной индуктивности в RС-цепи вызывает начальный всплеск анодного напряжения. В момент t1 также происходит восстановление блокирующей способности управляющего электрода, однако накопленная в индуктивности запирающего канала энергия немедленно переводит р-n-переход в стадию обратимого пробоя.

4. Интервал t2 — t3. На управляющем переходе поддерживается состояние пробоя, при этом отрицательный ток управления плавно спадает. Обратимость состояния пробоя поддерживается максимально допустимым временным интервалом, который устанавливается для каждого типа тиристора (5...20 мкс). Если запасенной энергии в индуктивности драйвера недостаточно, интервал пробоя значительно укорачивается, при этом резко спадает отрицательный ток управления. Такая ситуация достаточно опасна, с учетом относительно больших интервалов протекания остаточного тока (рис. 4.38). В течение данного периода анодное напряжение нарастает со скоростью заряда конденсатора RC-цепи током нагрузки. Анодный ток падает до значений остаточного тока, который поддерживается носителями заряда из n-базы.

5. Интервал t3 — t4. Анодное напряжение продолжает увеличиваться при остаточном токе в тиристоре. В момент f3 энергия индуктивности цепи управления практически полностью рассеивается и напряжение на переходе снижается до величины отрицательного источника запирания. Так как управляющий переход заперт, остаточный ток ключа протекает по цепи анод — управляющий электрод.

6. Интервал t4 —t5. Анодное напряжение после некоторых колебаний, вызванных паразитной индуктивностью RС-цепи, стабилизируется на уровне источника питания ключа. Ток ключа близок к нулевому значению (с точностью до тока утечки), поскольку накопленные в n-базе носители полностью удалены. При этом отрицательное напряжение на управляющем электроде может быть уменьшено до уровня смещения, поддерживающего прямую блокирующую способность ключа (= -2 В).

а б

Рис. 4.38

На основе проведенного анализа остановимся на некоторых моментах схемотехнического применения GTO:

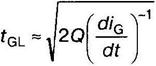
1. Динамические характеристики схемы определяются главным образом временем выключения тиристора tGQ, большую часть которого составляет время запаздывания по выключению tGL. Данное время фактически представляет собой время нарастания отрицательного тока управления, которое увеличивается с ростом тока нагрузки и температуры (рис. 4.39).


2. Для заданного режима нагрузки (анодный ток в открытом состоянии, напряжение питания ключа, температура перехода) величина заряда О, выносимого по цепи управления в течение времени нарастания отрицательного тока управления, практически не зависит от скорости экстракции заряда. Максимальная величина запирающего тока IG-(MAX) может быть при этом представлена как функция скорости нарастания отрицательного тока :

(4.78)

Время tGL при этом определяется как:

(4.79)

Таким образом, коэффициент запирания GGQ уменьшается с ростом скорости нарастания отрицательного управляющего тока при одновременном снижении времени выключения тиристора (рис. 4.40). В некоторых пределах уменьшение параметра GGQ является полезным с точки зрения повышения быстродействия, улучшения динамического распределения тока между ячейками структуры при выключении, снижения общих потерь в ключе.

 

Рис. 4.39

 

Однако при некоторой критической скорости начинает резко увеличиваться хвостовой ток тиристора из-за роста остаточного заряда в n-базе. По этой причине устанавливают минимальную (~10...20 А/мкс) и максимальную (~80...120 А/мкс) скорость изменения тока запирания.

Рис. 4.40

3. Поскольку использование GTO предполагает применение защитных RС-цепей, энергия потерь при выключении EOFF задается как функция тока нагрузки с использованием в качестве параметра величины емкости демпфирующего конденсатора (рис. 4.41). Увеличение емкости вызывает уменьшение энергии потерь, поскольку фронт нарастания анодного напряжения становится более медленным.

Рис. 4.41

Рис. 4.42

4. При расчете общих энергетических потерь в схеме необходимо добавлять к потерям в ключе потери в самой RС-цепи, которые всегда увеличиваются с ростом величины емкости. При достаточно большом значении С суммарные потери могут оказаться больше.

5. Включение тиристора не должно производиться до истечения интервала времени полного выключения ячеек структуры, что объясняется неравномерным распределением остаточного тока в катодных областях.

6. Время выключения GTO имеет разброс порядка нескольких мкс, что затрудняет динамическое выравнивание напряжений при использовании последовательного соединения ключей.

7. Нельзя осуществлять запирание структуры тиристора, если превышено допустимое значение максимального запираемого тока. В противном случае структура ячеек может быть повреждена. Таким образом, в режиме перегрузок необходимо использовать дополнительные схемы защиты (плавкие предохранители, быстродействующие выключатели и т.п.).

Указанные проблемы в значительной мере преодолеваются при использовании запираемых тиристоров с переключением анодного тока в цепь управления (GCT). Переходный процесс выключения GCT-ключа представлен на рис. 4.42. Энергетические потери на 'выключение в данных ключах более чем в два раза могут превосходить аналогичные потери в GTO-тиристоpax. Однако суммарные потери за счет применения более экономичных цепей защиты уменьшаются почти нa 50% (рис. 4.43).

а б

Рис. 4.43

 







Date: 2015-05-09; view: 2760; Нарушение авторских прав



mydocx.ru - 2015-2026 year. (0.659 sec.) Все материалы представленные на сайте исключительно с целью ознакомления читателями и не преследуют коммерческих целей или нарушение авторских прав - Пожаловаться на публикацию