Главная Случайная страница


Полезное:

Как сделать разговор полезным и приятным Как сделать объемную звезду своими руками Как сделать то, что делать не хочется? Как сделать погремушку Как сделать так чтобы женщины сами знакомились с вами Как сделать идею коммерческой Как сделать хорошую растяжку ног? Как сделать наш разум здоровым? Как сделать, чтобы люди обманывали меньше Вопрос 4. Как сделать так, чтобы вас уважали и ценили? Как сделать лучше себе и другим людям Как сделать свидание интересным?


Категории:

АрхитектураАстрономияБиологияГеографияГеологияИнформатикаИскусствоИсторияКулинарияКультураМаркетингМатематикаМедицинаМенеджментОхрана трудаПравоПроизводствоПсихологияРелигияСоциологияСпортТехникаФизикаФилософияХимияЭкологияЭкономикаЭлектроника






Ключи на тиристорах с регенеративным включением





 

Переходный процесс включения в тиристорах с регенеративным механизмом (SCR, GTO, GCT и МСТ) практически одинаков для любых структур и состоит из двух главных этапов: стадия регенерации и стадия установления остаточного напряжения (рис. 4.26).

Этап задержки включения для тиристорных ключей большой мощности не превышает 100...200 нc и его величиной в сравнении с другими временными составляющими пренебрегают [2,3].

Этап лавинообразного нарастания анодного тока (регенерация) характеризуется взаимным влиянием транзисторов, составляющих р-n-р-n-структуру (рис. 4.27).

Для данного интервала в базовых областях тиристора устанавливается баланс зарядов:

(4.54)

(4.55)

 

где Q1;Q2— заряд неосновных носителей в n- и р-базе тиристора;

τB1, τB2 — времена жизни носителей в базах;

τС1, τС2 — времена пролета носителей через базовые слои;

а б Рис. 4.26

IG — входной ток управляющего электрода (для МСТ тиристора используется аналог тока управления, пропорциональный входному напряжению на затворе).

Решение уравнения при нулевых начальных зарядах в базовых слоях позволяет выразить ток тиристора на этапе регенерации:

(4.56)

где ВREG — эффективный коэффициент усиления тиристорной структуры;

tRЕG — постоянная времени регенеративного этапа.

Далее процесс включения протекает в зависимости от режима нагрузки тиристорного ключа, в котором различают режим больших или малых токов. Понятие величины тока связано с уровнем инжекции неосновных носителей в базовых слоях. В низколегированной n-базе тиристора независимо от величины внешней нагрузки практически всегда достигается высокий уровень инжекции.

Рис. 4.27

Если внешнее сопротивление RL велико, то в узкой р-базе с сильной степенью легирования высокий уровень инжекции не реализуется. Этап регенерации заканчивается в момент смены знака напряжения на центральном переходе, при этом остаточное напряжение на ключе равно величине падения напряжения на омическом сопротивлении базовых слоев структуры. Стадия дальнейшего установления остаточного напряжения VAK(t) определяется процессом модуляции сопротивления базовых слоев накопленным зарядом:

(4.57)

где Vo = Е - RLIO— начальное напряжение этапа установления;

IO = iA (tREG) - анодный ток в конце этапа регенерации;

Рис. 4.28

τУСТ.Н — постоянная времени этапа установления при низком уровне инжекции в р-базе тиристора;

tREG — длительность этапа регенерации.

При малых сопротивлениях нагрузки RL составляющих единицы Ом и менее, в структуре тиристора реализуются режимы повышенных плотностей тока, достигающих величин от 100 А/см2 и более.

В таких условиях в узкой р-базе также возникает высокий уровень инжекции, приводящий к резкому уменьшению коэффициентов усиления составляющих транзисторов (рис. 4.28).

На этапе установления, с учетом условия В1В2 → 1, для переходной характеристики анодного тока на основе решения балансовых уравнений (4.54) и (4.55) можно записать:

Рис. 4.29

(4.58)

где IO = iA(tREG) — ток в нагрузке в конце регенеративного этапа;

τSH — постоянная этапа установления при высоком уровне инжекции, тиристора.

С учетом резистивной нагрузки напряжение установления определяется выражением:

(4.59)

где VO=E ─ RLIO.

Для практической оценки длительности регенеративного этапа и расчета напряжения установления необходимо определить величину тока I0, а также параметры BREG τREG, τS. Экспериментальное исследование характеристик переходного процесса для каждого типа тиристора является достаточно трудоемким процессом, а в справочных данных перечисленные параметры не приводятся. В первом приближении можно воспользоваться интегральной характеристикой потерь энергии при включении (рис. 4.29), которая с учетом рассмотренных этапов может быть представлена в виде:

(4.60)

Таким образом, напряжение на этапе установления изменяется по закону, аналогичному для высокоомной нагрузки, но с другой постоянной времени.

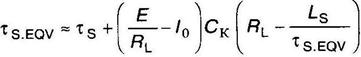
Достаточно быстрые процессы переключения тиристорных структур, особенно в цепях низкоомной нагрузки, требуют учета влияния паразитных индуктивностей схемы. Как показывают аналитические расчеты с учетом эффекта обратной связи между входной и выходной цепью тиристорного ключа (рис. 4.30), переходный процесс включения можно рассчитывать по формулам, аналогичным (4.56) и (4.58), заменяя постоянные времени на эквивалентные величины:


(4.61)

(4.62)

где Ls — паразитная индуктивность в анодной цепи тиристора;

Ск — барьерная емкость центрального перехода.

Напряжение открытого ключа определяется параметрами прямой ВАХ тиристора:

(4.63)

где V0 — напряжение на прямосмещенных р-n-переходах;

rDYN— динамическое сопротивление открытого тиристора.

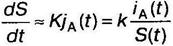
Для однооперационных тиристоров с большой площадью структуры необходимо учитывать эффект распространения области включения. Скорость увеличения данной площади пропорциональна плотности анодного тока:

(4.64)

где к — коэффициент пропорциональности;

S(t) — площадь области включения.

Влияние данного эффекта проявляется в относительно медленном изменении напряжения на открытом ключе при практически постоянном Е токе, равном (рис. 4.31).

На стадии переходного процесса, учитывающей эффект распространения, напряжение открытого ключа представляют как функцию изменяющегося во времени динамического сопротивления:

(4.65)

Рис. 4.30 Рис. 4.31

где SST — площадь области включения в статическом режиме.

С учетом (4.64) для остаточного напряжения тиристора можно записать:

(4.66)

Где - параметр, зависящий от структуры тиристора.

Значение параметра N можно определить по измеренной длительности фазы распространения tPROP, которая составляет несколько десятков микросекунд:

(4.67)

 







Date: 2015-05-09; view: 1548; Нарушение авторских прав



mydocx.ru - 2015-2026 year. (0.229 sec.) Все материалы представленные на сайте исключительно с целью ознакомления читателями и не преследуют коммерческих целей или нарушение авторских прав - Пожаловаться на публикацию