Главная Случайная страница


Полезное:

Как сделать разговор полезным и приятным Как сделать объемную звезду своими руками Как сделать то, что делать не хочется? Как сделать погремушку Как сделать так чтобы женщины сами знакомились с вами Как сделать идею коммерческой Как сделать хорошую растяжку ног? Как сделать наш разум здоровым? Как сделать, чтобы люди обманывали меньше Вопрос 4. Как сделать так, чтобы вас уважали и ценили? Как сделать лучше себе и другим людям Как сделать свидание интересным?


Категории:

АрхитектураАстрономияБиологияГеографияГеологияИнформатикаИскусствоИсторияКулинарияКультураМаркетингМатематикаМедицинаМенеджментОхрана трудаПравоПроизводствоПсихологияРелигияСоциологияСпортТехникаФизикаФилософияХимияЭкологияЭкономикаЭлектроника






МДП-транзисторы в двухтактных схемах импульсных преобразователей





 

При увеличении выходной мощности в нагрузке свыше 500 Вт используют двухтактные преобразователи, которые обычно строятся по схемам с нулевым выводом, полумостовой и мостовой конфигураций (рис. 4.55). В схеме с нулевым выводом к ключевому транзистору прикладывается двойное напряжение питания. Другим недостатком схемы является возможность насыщения ВЧ транзистора постоянной составляющей тока подмагничивания; из-за неидеальности отдельных плеч преобразователя. Это ограничивает применение схемы с нулевым выводом при относительно высоких уровнях (> 100 В) питающего напряжения. Указанных недостатков лишены схемы полумостовой конфигурации, которые находят более широкое практическое применение.

а б в

Рис. 4.55

При работе на активно-индуктивную нагрузку транзисторы в двухтактных схемах должны быть зашунтированы встречно-параллельными диодами для обеспечения сброса избыточной энергии дросселя. В случае применения мощных МДП-транзисторов в качестве обратных диодов могут быть использованы внутренние диоды структуры основного ключа (рис. 4.56).

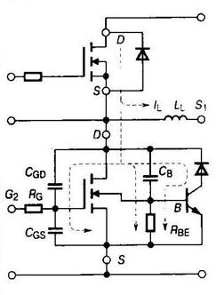
В мостовых схемах на быстрых МДП-транзисторах следует учитывать высокие скорости изменения напряжения, прикладываемые к закрытому ключу при включении противофазного транзистора. Это может приводить к следующим отказам (рис. 4.57):

1. Включение нижнего транзистора за счет заряда входной емкости выше порогового уровня.

2. Включение паразитного биполярного транзистора за счет емкостной составляющей тока через выходную емкость.

3. Включение паразитного биполярного транзистора при выключении внутреннего обратного диода, что эквивалентно резкому увеличению заряда восстановления.

Рис. 4.56

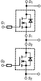
По указанным причинам рекомендуется применять схемы управления с отрицательным смещением в цепи затвор—исток при закрытом состоянии ключа (рис. 4.58), а также специальные типы МДП-транзисторов, в которых эффект отпирания паразитного биполярного транзистора подавлен технологическими методами управления временем жизни носителей. Более эффективным является применение транзисторных модулей полумостовой конфигурации с отдельно встроенными кристаллами обратных диодов (рис. 4.59), динамические характеристики которых оптимизированы для режима «мягкого» восстановления. На рис. 4.60 показаны ограничения, накладываемые на токовую нагрузку ключей при воздействии динамических эффектов напряжения и тока для различных типов МДП-транзисторов. Дополнительным фактором обеспечения надежной работы преобразователя является строгий алгоритм подключения систем питания. При запуске сначала подается напряжение в схему управления, затем включается силовое питание.

Рис. 4.57 Рис. 4.58 Рис. 4.59

При выключении преобразователя первым отключается силовое питание, затем проверяется разряд всех фильтровых конденсаторов и только в последнюю очередь отключается питание цепей смещения транзисторов. При работе импульсных преобразователей на токи нагрузки в десятки и сотни ампер со скоростью изменения характерной для МДП-транзисторов от 100 А/мкс и выше необходимо учитывать паразитные индуктивности схемы (рис. 4.61). Данные индуктивности определяются как внутренними индуктивностями корпусов силовых транзисторов (главным образом со стороны цепей разводки истока Ls), так и индуктивностями монтажа LD. Типовые значения Ls для современных корпусов полумостовой конфигурации МДП-транзисторов 5...15 нГн.

При относительно грамотной конструкции силового монтажа внешняя паразитная индуктивность LD = 20...100нГн. Паразитные индуктивности схемы приводят к следующим эффектам:

1. Ухудшают эффективность управления:

(4.98)

где - скорость изменения выходного тока стока;

— динамическая составляющая тока затвора.

2. Вызывают всплеск напряжения при выключении и провал при включении:

(4.99)

Рис. 4.60 Рис. 4.61

а б

Рис. 4.62

Практические рекомендации для уменьшения влияния паразитных индуктивностей сводятся к мерам защитного характера (рис. 4.62), а также конструктивным приемам уменьшения паразитных эффектов (рис. 4.63). Переходные процессы переключения МДП-транзисторов в двухтактных схемах с индуктивной нагрузкой качественно аналогичны рассмотренному варианту для отдельного ключа в режиме непрерывных и разрывных токов, при этом роль обратного диода выполняет диод противофазного транзистора. При использовании полумостовых модульных конструкций в схемах преобразователей с широтно-импульсной модуляцией основные динамические потери ключей определяются главным образом потерями на включение. Для отдельного модуля данные потери складываются из потерь на переключение транзистора и потерь при восстановлении противофазного диода. Общую энергию потерь на включение можно рассчитать по формуле:


(4.100)

Рис. 4.63

где IO — непрерывный ток нагрузки;

Е— напряжение питания полумостовой схемы;

Qrr — заряд восстановления противофазного диода;

—скорость нарастания тока стока при включении.

При известной паразитной индуктивности модуля Ls скорость diD/dt на 1 этапе включения с учетом (4.96) и (4.98) можно определить по формуле:

(4.101)

Уравнение (4.100) показывает, что для минимизации потерь необходимо уменьшать величину обратного заряда Огг, а также увеличивать скорость diD/dt.

 







Date: 2015-05-09; view: 1532; Нарушение авторских прав



mydocx.ru - 2015-2026 year. (1.095 sec.) Все материалы представленные на сайте исключительно с целью ознакомления читателями и не преследуют коммерческих целей или нарушение авторских прав - Пожаловаться на публикацию