Главная Случайная страница


Полезное:

Как сделать разговор полезным и приятным Как сделать объемную звезду своими руками Как сделать то, что делать не хочется? Как сделать погремушку Как сделать так чтобы женщины сами знакомились с вами Как сделать идею коммерческой Как сделать хорошую растяжку ног? Как сделать наш разум здоровым? Как сделать, чтобы люди обманывали меньше Вопрос 4. Как сделать так, чтобы вас уважали и ценили? Как сделать лучше себе и другим людям Как сделать свидание интересным?


Категории:

АрхитектураАстрономияБиологияГеографияГеологияИнформатикаИскусствоИсторияКулинарияКультураМаркетингМатематикаМедицинаМенеджментОхрана трудаПравоПроизводствоПсихологияРелигияСоциологияСпортТехникаФизикаФилософияХимияЭкологияЭкономикаЭлектроника






Тригонометрическая и показательная формы комплексного числа





 

Рассмотрим полярную систему координат на плоскости, совместив полюс с началом координат, а полярную ось направив по оси OX. Тогда комплексному числу будут соответствовать полярные координаты и . Число называют модулем комплексного числа:

 

.

 

Геометрический смысл модуля комплексного числа – длина вектора, изображающего комплексное число (рис. 1). Полярную координату называют аргументом комплексного числа:

При этом угол – это угол между вектором, изображающим комплексное число и положительным направлением оси OX (рис. 1). Аргумент комплексного числа многозначен и определяется с точностью до значения, кратного числу . Главным значением аргумента называют угол, удовлетворяющий условиям .

Тогда .

 
Для определения главного значения аргумента комплексного числа следует учитывать, какой четверти комплексной плоскости соответствует комплексное число:

 

 
 
 
 
 
 
 
Приведем примеры определения модуля и аргумента комплексного числа.

Пример 3. .

Число является действительным.

Поэтому ;

; .

Пример 4. .

Число является действительным.

Поэтому ;

; .

Такое значение аргумента соответствует любому действительному отрицательному числу.

Пример 5. .

Число чисто мнимое , а .

; .

Такой аргумент соответствует всем чисто мнимым числам при условии .

Пример 6. .

Это также чисто мнимое число. , но , так как вектор соответствующий комплексному числу направлен вдоль оси OY в отрицательную сторону.

 

Пример 7. .

Здесь ;

; .

Пример 8. .

Здесь ; . Вектор, изображающий число, лежит во второй четверти. Поэтому . .

Пример 9. .

Здесь ;

;

Понятие модуля и аргумента комплексного числа позволяют представить комплексное число в тригонометрической форме:

 

; ;

 

.

 

Пример 10. Согласно примерам 9,5, 7 получаем:

;

;

.

 

Разложение стандартной экспоненты в ряд Маклорена позволяет определить показательную функцию с мнимым показателем:

С учетом разложения в ряд функций , :

;

;

получаем формулу Эйлера

.

 

Формула Эйлера позволяет записать комплексное число в показательной форме

 

.

 

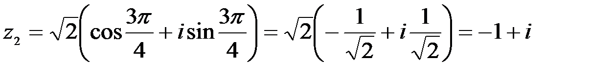
Пример 11. Продолжая примеры 9,5,7 можно записать числа в показательной форме

;

;

.

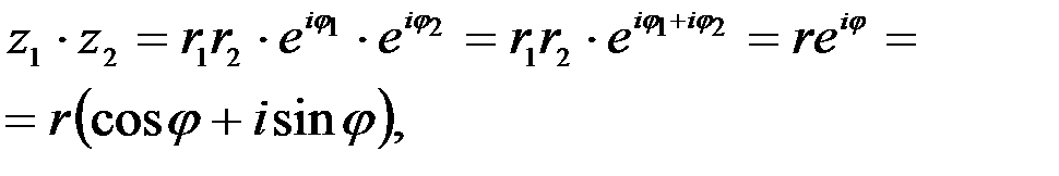
Запись комплексного числа в показательной и тригонометрической формах очень удобна для выполнения операций умножения, деления, возведения в степень и извлечения корня.

Пусть заданы комплексные числа:

и .

Тогда справедливо:

 

1)

где ; .

 

2) ,

где ; .

3) .

 

4) . .

Заметим, что корни из комплексного числа лежат в вершинах правильного -угольника, вписанного в круг радиуса .

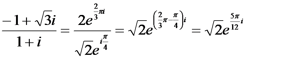
Пример 12. Выполним действия .

С учетом того, что , , получаем

.

Далее

 

Пример 13. Найдем все корни .

Число имеет и аргумент .

С учетом этого, все корни можно найти по формуле

;

.

, ;

, ;

, ;

, .

Расположение корней на комплексной плоскости показано на рис. 4.

 

x
x

 
 
 
 
 
Рис.4

 

 

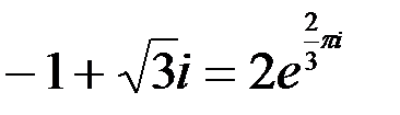
Пример 14. Найдем .

С учетом того, что , а аргумент , получаем (рис. 5)

,

.

, ;

, .

 

ЗАДАЧИ

1. Провести вычисления в алгебраической форме:

 

 

2. Для указанных комплексных чисел определите реальную часть, мнимую часть, модуль и аргумент. Построить вектор комплексного числа на плоскости. Записать число в тригонометрической и показательной формах:

 

 

3. Проведите вычисления, используя показательную и тригонометрическую форму записи комплексного числа. Дайте геометрическую интерпретацию операции извлечения корня:

 

; ; ;

 

4. Найдите корни уравнений:

 

; ; ;

 

 







Date: 2015-09-24; view: 759; Нарушение авторских прав



mydocx.ru - 2015-2026 year. (0.595 sec.) Все материалы представленные на сайте исключительно с целью ознакомления читателями и не преследуют коммерческих целей или нарушение авторских прав - Пожаловаться на публикацию