Главная Случайная страница


Полезное:

Как сделать разговор полезным и приятным Как сделать объемную звезду своими руками Как сделать то, что делать не хочется? Как сделать погремушку Как сделать так чтобы женщины сами знакомились с вами Как сделать идею коммерческой Как сделать хорошую растяжку ног? Как сделать наш разум здоровым? Как сделать, чтобы люди обманывали меньше Вопрос 4. Как сделать так, чтобы вас уважали и ценили? Как сделать лучше себе и другим людям Как сделать свидание интересным?


Категории:

АрхитектураАстрономияБиологияГеографияГеологияИнформатикаИскусствоИсторияКулинарияКультураМаркетингМатематикаМедицинаМенеджментОхрана трудаПравоПроизводствоПсихологияРелигияСоциологияСпортТехникаФизикаФилософияХимияЭкологияЭкономикаЭлектроника






Преобразования Фурье





Рассмотрим функцию , удовлетворяющую следующим условиям: 1) определены на интервале являются непрерывными или кусочно-непрерывными (могут иметь конечное число точек разрыва 1-ого рода);

2) является абсолютно интегрируемой, то есть несобственный интеграл сходится.

Такая функция может представлена интегралом Фурье:

 

Внутренний интеграл называют прямым преобразованием Фурье

,

 

а интеграл

называют обратным преобразованием Фурье.

 

Прямое преобразование Фурье называют также спектральной плотностью. Эта функция дает анализ частотного состава временного сигнала . В отличие от спектральной плотности периодической функции функция является непрерывной и служит огибающей для соответствующего дискретного спектра.

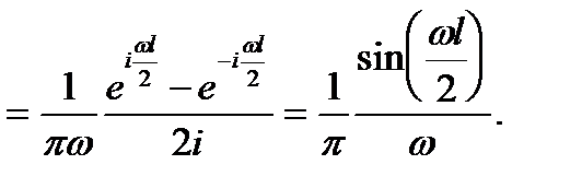
Пример 2. Найти спектральную плотность одиночного прямоугольного импульса (рис. 2):

 

 
l/2
l/2
1
t
f(t)
Рис. 2

 

0 2p/l w
Рис. 3
-2p/l
/2p
|S(w)|


График функции |S(w)| огибает дискретный спектр частот прямоугольного периодического импульса (рис. 3):

 

 







Date: 2015-09-24; view: 569; Нарушение авторских прав



mydocx.ru - 2015-2026 year. (1.852 sec.) Все материалы представленные на сайте исключительно с целью ознакомления читателями и не преследуют коммерческих целей или нарушение авторских прав - Пожаловаться на публикацию