Полезное:
Как сделать разговор полезным и приятным
Как сделать объемную звезду своими руками
Как сделать то, что делать не хочется?
Как сделать погремушку
Как сделать так чтобы женщины сами знакомились с вами
Как сделать идею коммерческой
Как сделать хорошую растяжку ног?
Как сделать наш разум здоровым?
Как сделать, чтобы люди обманывали меньше
Вопрос 4. Как сделать так, чтобы вас уважали и ценили?
Как сделать лучше себе и другим людям
Как сделать свидание интересным?
Категории:
АрхитектураАстрономияБиологияГеографияГеологияИнформатикаИскусствоИсторияКулинарияКультураМаркетингМатематикаМедицинаМенеджментОхрана трудаПравоПроизводствоПсихологияРелигияСоциологияСпортТехникаФизикаФилософияХимияЭкологияЭкономикаЭлектроника
|
Ряды и преобразования Фурье
Рядом Фурьепериодической функции, заданной на симметричном интервале
|

; 

| y |
(рис. 1)

| -l |
| l |
| 2l |
| 3l |
| 4l |
| 1 1 |
| x |
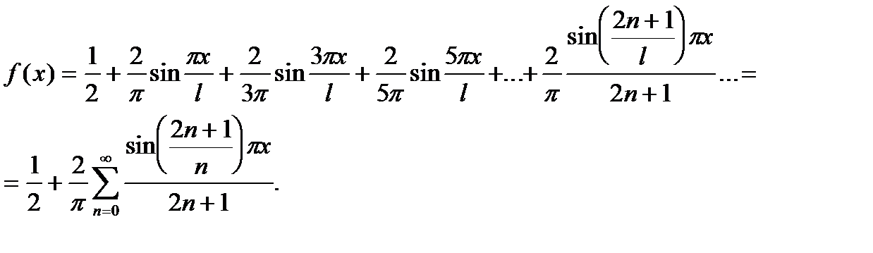
в ряд Фурье по тригонометрическим функциям.
| Рис. 1 |
Замечая, что период
равен
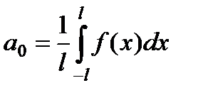
, вычисляем коэффициенты Фурье:



с учетом того, что 
В результате получаем, что разложение данной функции в ряд Фурье имеет вид:

По известному разложению в ряд Фурье легко построить дискретный частотный спектр периодической функции, который наглядно показывает вклад каждой из гармоник в сложное колебательное движение. Для этого строят диаграмму в координатах
, где
- номер гармоники,
- амплитуда.
Для рассматриваемой функции
спектр имеет вид:
| 3 5 |
| k |
|
| Рис.2 |
| 2/p |
| 1/2 |
| 2/(3p) |
| 2/(5p) |

Учитывая четность подынтегральных функций, можно установить особенности разложения в ряд Фурье для четных и нечетных функций.
Так, если функция
- четная, получаем:
=0
и разложение в ряд имеет вид:

Если
- нечетная, справедливо: 

и разложение в ряд имеет вид:

ЗАДАЧИ
Разложить указанную периодическую функцию в ряд Фурье. Схематично построить спектр. Найти среднее значение функции на периоде.
| f(t) |
| E |
| t |
| L |
| - L |
| t |
| -2 |
|
4.
|
|
| t |
1. 
2. 
3. 
Date: 2015-09-24; view: 489; Нарушение авторских прав