Главная Случайная страница


Полезное:

Как сделать разговор полезным и приятным Как сделать объемную звезду своими руками Как сделать то, что делать не хочется? Как сделать погремушку Как сделать так чтобы женщины сами знакомились с вами Как сделать идею коммерческой Как сделать хорошую растяжку ног? Как сделать наш разум здоровым? Как сделать, чтобы люди обманывали меньше Вопрос 4. Как сделать так, чтобы вас уважали и ценили? Как сделать лучше себе и другим людям Как сделать свидание интересным?


Категории:

АрхитектураАстрономияБиологияГеографияГеологияИнформатикаИскусствоИсторияКулинарияКультураМаркетингМатематикаМедицинаМенеджментОхрана трудаПравоПроизводствоПсихологияРелигияСоциологияСпортТехникаФизикаФилософияХимияЭкологияЭкономикаЭлектроника






Полисахариды





Полисахариды — высокомолекулярные соединения, полимеры. Их молекулярная масса измеряется тысячами и миллионами. Они не растворяются в воде и не обладают сладким вкусом.

По своему химическому строению их можно разделить на две большие группы; гомополисахариды, построенные из остатков какого-либо одного моносахарида (глюкоза, фруктоза и др.) и гетерополиса-

хариды, состоящие из остатков различных моносахаридов и их производных.

Гомополисахариды различаются природой моносахаридов, которые входят в их состав. Так, из остатков глюкозы построены глюканы (крахмал, гликоген, целлюлоза и др.), из остатков фруктозы — поли-фруктозиды (инулин и др.). Путем соединения большого количества остатков галактуроновой кислоты образуются пектины, остатков глюкозамина — хитин панциря членистоногих.

Гетерополисахариды делятся на гемицеллюлозы, мукополисаха-риды, камеди и слизи.

В соответствии с физиологическими функциями полисахариды можно разделить на структурные, образующие опорные ткани (целлюлоза, пектиновые вещества, хитин); резервные, которые постепенно потребляются в процессе обмена (крахмал, гликоген, инулин); защитные, образующиеся в ответ на повреждение растений (слизи и камеди).

Исследование полисахаридов связано с большими трудностями. В настоящее время хорошо изучены лишь отдельные гомополисахариды — крахмал, гликоген и целлюлоза.

Крахмал — важнейший гомополисахарид растений с общей формулой (С6Н10О5)n. Это белый порошок, нерастворимый в воде, без вкуса и запаха. В горячей воде образует коллоидный раствор, который окрашивается иодом в синий цвет.

Крахмал образуется в процессе фотосинтеза в зеленых листьях растений и откладывается в семенах, плодах и стволах. Особенно много его содержится в зернах риса, пшеницы, кукурузы и клубнях картофеля. В организм человека и животных крахмал попадает с пищей (картофель, хлеб и др.).

Крахмал построен из большого количества остатков α-глюкозы, соединенных между собой 1,4-гликозидными связями по типу мальтозы. Таким образом, повторяющейся единицей в молекуле крахмала являются остатки α-глюкозы. Крахмал состоит из двух различных фракций — амилозы (около 25 %) и амилопектина (около 75 %), которые различаются между собой строением и свойствами.

Амилоза растворима в горячей воде и хорошо окрашивается иодом и синий цвет. Молекула амилозы состоит из двух цепей, скрученных в спираль. В каждой цепи остатки глюкозы связаны между собой только 1,4-гликозидными связями, поэтому молекула амилозы имеет линейное строение:

В составе такой цепи насчитывается 200—1000 остатков глюкозы. Молекулярная масса амилозы составляет около 60 тыс.

Амилопектин плохо растворим в горячей воде и образует коллоид-ные растворы, которые окрашиваются иодом в красно-фиолетовый цвет. Остатки глюкозы в молекуле амилопектина соединены не только 1,4-, но также и 1,6-гликозидными связями, которыми присоединены боковые цепи. Соотношение связей 1,4 к 1,6 составляет примерно 25: 1. Поэтому молекула амилопектина имеет разветвленную структуру и ее можно представить как клубок полисахаридных цепей без ярко выраженной главной цепи:

Молекулярная масса амилопектина составляет 100 тыс.— 1 млн и более.

При гидролизе под влиянием кислот и ферментов амилоза и амило-пектин расщепляются с присоединением воды до глюкозы: (С6Н10О5)n + nН20 → nС6Н12О6.

При этом крахмал проходит ряд последовательных превращений с образованием промежуточных, более простых полисахаридов, называемых декстринами.

Гликоген — важный гомополисахарид, содержащийся в тканях человека и животных и играющий роль резервного углевода, поэтому его еще называют животным крахмалом. Он содержится глав-ным образом в печени (около 10 %) и мышцах (около 2 %). Это белый аморфный порошок, легко растворяется в горячей воде, образуя коллоидные растворы. С иодом дает желто-красную окраску.

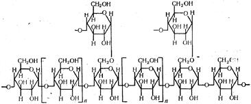
Гликоген построен из остатков α-глюкозы. Молекулярная масса его составляет от 400тыс. до 4 млн. Структура гликогена аналогична структуре амилопектина, но и от-личие от последнего гликоген имеет больше связей 1,6 — соотношение связей 1,4 и 1,6 в его молекуле составляет12: 1. Наряду с этим имеются также связи 1,3. Поэтому молекула гликогена имеет более разветвленную форму, но несколько плотнее и компактнее, чем молекула амилопектина (рис. 40).

Рис. 40. Строение гликогена: а - глюкозидный остаток (1,4-связи); б - точки ветвления молекулы (1,6-связи).

Целлюлоза, или клетчатка, является основным структурным полисахаридом оболочек клеток всех растений, обусловливая их прочность и эластичность. В листьях растений содержится около 30 % целлюлозы, в древесине


около 70 %, а в волосках семянхлопка—около 90 %.

Молекула целлюлозы состоит из остатков β-глюкозы, связанных между собой только 1,4-гликозидными связями, т.е. имеет линейное строение:

Количество остатков глюкозы в молекуле целлюлозы достигает нескольких тысяч, что соответствует молекулярной массе от 500 тыс. до 20 млн.

Отдельные нитевидные молекулы целлюлозы при взаимодействии друг с другом образуют прочные мицеллы, которые, в свою очередь, с помощью водородных связей объединяются в фибриллы. В чистом виде целлюлоза представляет собой волокнистое вещество без запаха и вкуса.

В связи со специфическим строением целлюлоза нерастворима в воде, эфире,спирте. В обычных условиях на нее не действуют разбавленные растворы щелочей, кислот ислабых окислителей. Растворяется целлюлоза в реактиве Швейцера (разбавленный раствор Сu(ОН)2 I крепком аммиаке), растворе хлорида цинка в соляной кислоте при нагревании и в концентрированной серной кислоте. Благодаря наличию свободных гидроксильных групп целлюлоза вступает в отдельные реакции с кислотами и спиртами с образованием различных эфиров. Так, при действии азотной кислоты образуется нитроклетчатка, при действии уксусного ангидрида — ацетилклетчатка. С помощью этих реакций из целлюлозы изготовляют целлофан, взрывчатые вещества, фото- и кинопленку и т.д.

При гидролизе целлюлозы в присутствии концентрированных кислот образуется β-глюкоза.

Организм человека и многих животных не способен переваривать клетчатку. Такой способностью обладают только микроорганизмы, обитающие в пищевом канале травоядных животных, которые питаются и основном клетчаткой.

Гликозамингликаны (мукополисахариды)

Гликозамингликаны (ГАГ) — это сложные высокомолекулярные гетерополисахариды. Их молекулы построены из остатков различных моносахаридов, их производных и других соединений. Растворы ГАГ и их комплексы с белками — мукопротеиды — имеют слизистый характер, откуда и получили свое название (от лат. mucor — слизь).

Наибольшее значение имеют кислые ГАГ: гиалуроновая и хондро-итинсерная кислоты и гепарин.

Гиалуроновая кислота. Молекула этого гетерополи-сахарида построена из большого количества остатков глюкуроновой кислоты и N-ацетилглюкозамина в соотношении 1: 1, связанных между собой 1,3-гликозидными связями, т.е. структурной единицей гиа-луроновой кислоты является дисахарид, состоящий из глюкуроновой кислоты и N-ацетилглюкозамина:

Эти фрагменты, соединяясь друг с другом связью 1,4, образуют высокомолекулярную молекулу гиалуроновой кислоты линейного строения с молекулярной массой от 270 до 500 тыс.

Эта кислота широко распространена в тканях и органах человека и животных. Особенно много ее в стекловидном теле глаза, сухожилиях, синовиальной жидкости суставов. Она входит в состав оболочки клеток, в частности женской половой клетки — яйцеклетки. Поэтому проникновение в яйцеклетку, а следовательно, и оплодотворение ее возможно лишь в случае расщепления гиалуроновой кислоты. Такой способностью обладает мужская половая клетка — сперматозоид, содержащая фермент гиалуронидазу (гиалуронат-лиазу), с помощью которого и разрушается оболочка.


Гиалуроновая кислота способна связывать воду и тем самым удерживать ее в межклеточном пространстве. Она придает также синовиальной жидкости смазочные свойства, уменьшая трения при сгибании суставов.

Гиалуроновая кислота входит в состав основного вещества соеди-нительной ткани, придавая ей высокую прочность и защитные своиства, поскольку одним из механизмов проникновения бактерий в организм человека или животных является расщепление бактериальны-ми ферментами гиалуроновой кислоты клеточной оболочки. Это наблюдается также при действии на организм различных физических факторов, например радиоактивного излучения. В результате усили-вается расщепление гиалуроновой кислоты, что ведет к повышении' проницаемости тканей и понижению сопротивляемости организма инфекциям.

Хондроитинсерная кислота также является гетеро-полисахаридом. Молекула ее построена из фрагментов глюкурононовой кислоты и N-ацетилгалактозаминсульфата, соединенных между coбой 1,3-гликозидными связями:

Фрагмент хондроитинсульфата С

Такие фрагменты, так же как и в гиалуроновой кислоте, соединяются между собой 1,4-связями, образуя молекулу хондроитинсерной кислоты с молекулярной массой 50—100 тыс. В зависимости от положения остатка серной кислоты различают хондроитинсульфат А (остаток серной кислоты расположен у третьего атома углерода N-аце-тилгалактозамина) и хондроитинсульфат С (остаток серной кислоты Расположен у шестого атома углерода N-ацетилгалактозамина).

Хондроитинсерная кислота — обязательная составная часть хрящей (до 40 % в пересчете на сухую массу), костей, основного вещества соединительной ткани, сердечных клапанов, стенок кровеносных со-судов, кожи и др., т. е. в организме она выполняет опорные функции. Кроме того, хондроитинсерная кислота принимает участие в ионном Обмене и регуляции поступления в клетку питательных веществ.

Гепарин— кислый гетерополисахарид, состоящий из остатков глюкуроновой кислоты и глюкозамина, с молекулярной массой до 20 000. Он содержится в различных органах и тканях животных. Особенно много его в печени (до 100 мг на 1 кг ткани), легких, сердце, селезенке, щитовидной железе, крови.

Гепарин является мощным антикоагулянтом, в ничтожно малых ко-личествах задерживает свертывание крови. Его используют в медицине для профилактики и лечения тромбозов, а также в качестве стабилизатора крови при ее хранении и переливании.







Date: 2015-09-22; view: 987; Нарушение авторских прав



mydocx.ru - 2015-2026 year. (1.079 sec.) Все материалы представленные на сайте исключительно с целью ознакомления читателями и не преследуют коммерческих целей или нарушение авторских прав - Пожаловаться на публикацию