Главная Случайная страница


Полезное:

Как сделать разговор полезным и приятным Как сделать объемную звезду своими руками Как сделать то, что делать не хочется? Как сделать погремушку Как сделать так чтобы женщины сами знакомились с вами Как сделать идею коммерческой Как сделать хорошую растяжку ног? Как сделать наш разум здоровым? Как сделать, чтобы люди обманывали меньше Вопрос 4. Как сделать так, чтобы вас уважали и ценили? Как сделать лучше себе и другим людям Как сделать свидание интересным?


Категории:

АрхитектураАстрономияБиологияГеографияГеологияИнформатикаИскусствоИсторияКулинарияКультураМаркетингМатематикаМедицинаМенеджментОхрана трудаПравоПроизводствоПсихологияРелигияСоциологияСпортТехникаФизикаФилософияХимияЭкологияЭкономикаЭлектроника






Моносахариды





Классификация, изомерия и номенклатура. Моносахариды являются производными многоатомных спиртов, содержат альдегидную или кетонную группу и называются соответственно альдозами или кетозами. Другими словами, с химической точки зрения моносахариды — это альдегидо- или кетоноспирты.

Простейшими моносахаридами являются триозы — глицериновый альдегид и диоксиацетон:

Глицериновый альдегид (альдоза) Диоксиацетон (кетоза)

Глицериновый альдегид содержит один атом углерода, соединенный с четырьмя разными атомами и группами атомов (в формуле обозначен звездочкой). Как известно, такой атом углерода называют асимметрическим. Атом водорода и гидроксильная группа возле такого атома углерода могут располагаться в пространстве по-разному, т.е. вещества, содержащие асимметрический атом углерода, обладают пространственной изомерией, или стереоизомерией. В связи сэтим существует два стереоизомера глицеринового альдегида,которые обозначаются как D- и L-формы:

D- Глицериновый альдегид L-Глииериновый альдегид

Принадлежность сахаров к D- или L-ряду устанавливают, сравнивая расположение атомов водорода и гидроксильных групп у последнего асимметрического атома углерода в молекуле моносахарида с расположением их у D- или L-глицеринового альдегида. Например, D- и L-формы глюкозы и фруктозы имеют такое строение:

D-Глюкоза D-Фруктоза L- Глюкоза L-Фруктоза

В растениях содержатся, как правило, только D-формы Сахаров-(в отличие от аминокислот).

С увеличением количества атомов углерода в молекулах простых углеводов возрастает и число асимметрических атомов, в результате чего увеличивается и количество стереоизомеров. Между числом асимметрических атомов углерода и количеством стереоизомеров существует зависимость, выражаемая формулой N — 2 n(где N — количества стереоизомеров; п — число асимметрических атомов углерода). Так, для альдогексоз (моносахаридов, содержащих шесть атомов углерода), например, глюкозы, имеющей четыре асимметрических атома углерода, число стереоизомеров равно 16 (24). Для кетогексоз, например, фруктозы, содержащей только три асимметрических атома углерода, их известно 8 (23).

На схеме (см. с. 179) указаны D-глицериновый альдегид и альдозы D-ряда с 4, 5 и 6 атомами углерода. Наиболее важные из них выделены жирным шрифтом. На этой схеме представлено 8 различных альдо-гексоз из 16, принадлежащих к D-ряду. Другие 8 моносахаридов являются их антиподами, т.е. относятся к L-ряду. За этими антиподами сохраняются те же названия, кроме принадлежности к данному ряду. Например, существует два стереоизомера глюкозы (D- и L-формы), маннозы, фруктозы и т.д. Два моносахарида, различающихся взаимным расположением атомов водорода и гидроксильных групп относительно только одного определенного атома углерода, называются эпимерами. Так, D-глюкоза и D-манноза являются эпимерами по второму атому углерода.

Углеводы могут существовать в циклической форме, обусловленной внутримолекулярным взаимодействием карбонильной группы с одной из гидроксильных групп (чаще всего у пятого атома углерода), в результате чего образуются циклические полуацетали.

Рассмотрим циклические полуацетали глюкозы и фруктозы — моносахаридов, имеющих наиболее важное биологическое значение. В результате взаимодействия атома водорода пятой гидроксильной группы с атомом кислорода карбонила образуется гидроксил, получивший название полуацетального (в рамке):

В результате такого взаимодействия первый атом углерода становится асимметрическим, в связи с чем возможно различное размещение полуацетального гидроксила в пространстве. Если он расположен по ту же сторону углеродного скелета, что и гидроксил, определяющий принадлежность глюкозы к D- или L-ряду, такая циклическая форма глюкозы называется α-формой, если по другую сторону — β-формой:

α-D-Глюкоза β-D-Глюкоза

Аналогично можно изобразить циклические формы фруктозы:

D-Фруктоза α-D-Фруктоза β -D- Фруктоза

Как следует из формул, циклические формы D-глюкозы и D-фрукто-зы представляют собой соответственно шести- и пятичленные циклы, содержащие один гетероциклический атом — кислород. Как известно, шестичленный цикл с одним гетероатомом (атомом кислорода) представляет собой пиран, пятичленный — фуран. Поэтому циклическую форму глюкозы называют пиранозной, а фруктозы — фуранозной. Циклические формы этих моносахаридов изображают следующим образом

α- D –Глюкопираноза β- D –Глюкопираноза β-D-Фруктофураноза


Атом кислорода в большинстве случаев располагают в формуле сверху, атомы водорода и гидроксильные группы, находящиеся в линейной формуле справа,— внизу кольца, а расположенные слева — вверху. Такой способ записи циклической формы глюкозы, а также других гексоз и пентоз предложил английский химик У.Хеуорс.

Установлено, что в твердом состоянии моносахариды находятся только в циклической форме, т.е. имеют структуру полуацеталей. В водных растворах они могут существовать в различных формах: альдегидной, α- и β-формах, между которыми устанавливается состояние подвижного равновесия, однако главным образом они находятся в виде α- и β-пиранозных или фуранозных форм, в альдегидной или кетонной форме — совсем небольшое количество.

Наличие асимметрических атомов углерода в молекулах cахаров обусловливает их оптические свойства. Правовращающие простые углеводы обозначаются знаком «+», левовращающие — знаком «—».

Названия отдельных представителей углеводов в большинстве случаев эмпирические, связанные со способом их получения, каким-либо характерным признаком данного сахара и т.д., однако для всех их характерно окончание -оза, указывающее на принадлежность их к группе cахаров.

По рациональной номенклатуре простые углеводы называют, ука-зывая названия их циклических форм — пиранозная или фуранозная, принадлежность к D- или L-ряду и направление вращения луча поляризованного света. Ниже приведены формулы и рациональные названия наиболее важных моносахаридов:

α-D(+)-Глюкопираноза β-D(+)-Глюкопираноза

β- D(-)-Маннопираноза α-D(+)-Галактопираноза

α-D(-)-Фруктофураноза α-D(+)-Рибофураноза

α -D (+)-Дезоксирибофураноза

Химические свойства. Во многие химические реакции моносахариды вступают, находясь в ациклической (альдегидной) форме, несмотря на то что в данной форме они содержатся в растворах в очень малых количествах. Это объясняется тем, что альдегидная форма углеводов является наиболее реакционноспособной. По мере расходования в химической реакции альдегидной формы моносахарида его циклическая форма немедленно превращается в альдегидную, пока снова между этими формами не установится динамическое равновесие.

Одним из основных химических свойств моносахаридов является их способность к легкому окислению. При этом они восстанавливают даже такие очень слабые окислители, как Ag2O и Сu(ОН)2. При окислении альдегидной группы моносахаридов образуются альдоновые кислоты:

Альдоновые кислоты галактозы и маннозы называются соответственно галактоновой и манноновой кислотами:

D(+)-Галактоновая кислота D(+)-Маннонова кислота

При более энергичном окислении, когда окисляется и первичная спиртовая группа, образуются двухосновные оксикислоты, которые носят общее название альдаровых кислот. При таком окислении глюкоза превращается в глюкаровую (сахарную), галактоза — в галакта-ровую (слизевую) и манноза — в манноновую (манносахарную) кислоты:

Глюкаровая (сахарная) кислота Галактаровая (слизевая) кислота

Манноновая (манносахарная) кислота

 

Наибольшее биологическое значение имеют уроновые кислоты, образующиеся из моносахаридов при окислении только первичной спиртовой группы до карбоксильной. Уроновая кислота, которая образуется из глюкозы, называется глюкуроновой, из галактозы—галактуроновой, из маннозы — маннуроновой:


Глюкуроновая кислота Галактуроновая кислота

Маннуроновая кислота

При восстановлении моносахаридов из них образуются соответствующие многоатомные спирты. В растениях наиболее часто встречаются сорбит, образующийся при восстановлении глюкозы или фруктозы, маннит — при восстановлении маннозы, рибит — при восстановлении рибозы:

Сорбит Маннит Рибит

Моносахариды вступают в реакцию с кислотами, образуя сложные эфиры. Некоторые из них играют очень важную роль в обмене веществ. Особенно большое значение имеют эфиры сахаров с фосфорной кислотой, так называемые сахарофосфаты, или фосфорные эфиры Сахаров. Такие важнейшие процессы обмена веществ, как дыхание, брожение, синтез гликогена, крахмала и многие другие, протекают при обязательном участии фосфорных зфиров сахаров. Наибольшее значение имеют фосфорные эфиры глюкозы, фруктозы и рибозы (см. ч. III, гл. 23, 25).

Важнейшим свойством моносахаридов является их способность к образованию гликозидов. Они образуются путем замещения атома водорода в полуацетальном гидроксиле (поэтому его называют еще гликозидным гидроксилом), который отличается повышенной реакционной способностью. Одним из простейших гликозидов являются этилгликозиды, образующиеся при взаимодействии циклических форм сахаров с этиловым спиртом:

Путем замещения в молекуле моносахарида одного из гидрокси-лов группой —NH2 образуются аминопроизводные сахаров. Наиболее важное биологическое значение в организме человека имеют аминопроизводные глюкозы, галактозы и маннозы — соответственно глюкозамин, галактозамин (хондрозамин) и маннозамин:

Глюкозамин Галактозамин Маннозамин

Указанные гексозамины играют важную роль в жизнедеятельности организма. Они выполняют специфические функции, входя в состав слизистых веществ, синовиальной жидкости суставов, регулируют свертываемость крови и выполняют защитную функцию при инфекционных заболеваниях.

Гексозамины находятся в организме не в свободном виде, а главным образом в форме ацетильных производных, которые образуются при замещении в молекуле аминосахара атома водорода в одной из

гидроксильных групп или ваминогруппе на ацетил (). Таким путем образуются О-ацетил- и N-ацетиламиносахара. Чаще всего образуются N-ацетиламиносахара, среди которых наиболее важными являются N-ацетилглюкозамин, N-ацетилгалактозамин и N-ацетил-маннозамин:

N-Ацетилглюкозамин N-Ацетилгалактозамин

N-Ацетилманнозамин

Биологическое значение и нахождение в природе отдельных моносахаридов. Биологическое значение простых углеводов состоит в том, что они являются главным источником энергии, служат химической основой для построения молекул биополимеров и являются составными частями макроэргических соединений.


Глюкоза — самая распространенная альдогексоза как врастительном, так и в животном мире. В свободном виде она в больших количествах содержится в сладких плодах и меде. Виноград содержит 17—20 % глюкозы (отсюда еще одно название глюкозы — «виноградный сахар».

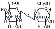
Мальтоза.

Поскольку в молекуле мальтозы в образовании связи участвует полуацетальный гидроксил только одной молекулы моносахарида, то по рациональной номенклатуре мальтоза называется глюкозидоглю-козой.

Мальтоза широко распространена в природе как составная часть крахмала и гликогена.

Лактоза. Молекула этого дисахарида образована из молекул (β-D-галактозы и α-D-глюкозы и построена по типу мальтозы. Лактоза является обязательной составной частью молока всех млекопитающих и проявляет восстанавливающие свойства:

Рациональное название лактозы — галактозидоглюкоза.

Целлобиоза. Молекула этого дисахарида состоит из остатков молекул α - и β-глюкоз, также соединенных по типу мальтозы:

β-Глюкозидоглюкоза (целлобиоза)

Целлобиоза (рациональное название — глюкозидоглюкоза) об-разуется как промежуточный продукт гидролиза клетчатки. Обладает восстанавливающими свойствами.

Дисахариды трегалозного типа. Молекулы этих дисахаридов по-строены по второму способу, т.е. образование связи между двумя молекулами моносахаридов происходит за счет двух полуацетальных гидроксилов обеих молекул.

Трегалоза состоит из двух остатков молекул α-D-глюкозы,) соединенных связью 1,1:

Глюкозидоглюкозид (трегалоза)

Поскольку в молекуле трегалозы отсутствует полуацетальный гидроксил, то восстанавливающими свойствами она не обладает. Рациональное название трегалозы — глюкозидоглюкозид. Трегалоза обнаружена в грибах, водорослях и гемолимфе многих насекомых.

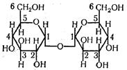
Сахароза состоит из молекул α-D-глюкозы и β-D-фруктозы, соединенных между собой связью 1,2:

Глюкозидофруктозид(сахароза)

Сахароза не обладает восстанавливающими свойствами. Рациональное название — глюкозидофруктозид.

Сахароза — один из самых распространенных в природе и практически наиболее важных дисахаридов. Она содержится в стеблях, корнях, клубнях и плодах растений. В стеблях сахарного тростника ее накапливается до 20 %, а в корнеплодах сахарной свеклы — до 24 %. Сахароза — ценный продукт питания и имеет большое энергетическое значение: при окислении 1 г ее образуется около 16,7 кДж энергии. Расщепляясь, сахароза образует глюкозу и фруктозу, смесь равных количеств которых называется инвертным сахаром. Раствор инвертного сахара вращает плоскость поляризации поляризованного света влево на 66,5°. Поскольку глюкоза вращает плоскость поляризации вправо на 52,5°, а фруктоза — влево на 92 °, следовательно, смесь этих моносахаридов отклоняет плоскость поляризации света в сторону более оптически активной фруктозы. Такое изменение направления оптической деятельности называется инверсией.







Date: 2015-09-22; view: 2544; Нарушение авторских прав



mydocx.ru - 2015-2026 year. (1.011 sec.) Все материалы представленные на сайте исключительно с целью ознакомления читателями и не преследуют коммерческих целей или нарушение авторских прав - Пожаловаться на публикацию