Главная Случайная страница


Полезное:

Как сделать разговор полезным и приятным Как сделать объемную звезду своими руками Как сделать то, что делать не хочется? Как сделать погремушку Как сделать так чтобы женщины сами знакомились с вами Как сделать идею коммерческой Как сделать хорошую растяжку ног? Как сделать наш разум здоровым? Как сделать, чтобы люди обманывали меньше Вопрос 4. Как сделать так, чтобы вас уважали и ценили? Как сделать лучше себе и другим людям Как сделать свидание интересным?


Категории:

АрхитектураАстрономияБиологияГеографияГеологияИнформатикаИскусствоИсторияКулинарияКультураМаркетингМатематикаМедицинаМенеджментОхрана трудаПравоПроизводствоПсихологияРелигияСоциологияСпортТехникаФизикаФилософияХимияЭкологияЭкономикаЭлектроника






Примеры решения задач. 8.2.1.Даны длины векторов , и угол





 

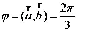
8.2.1. Даны длины векторов , и угол . Найти:

1) , 2) , 3) , 4) , если , .

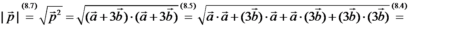
◄ Используя выражение (8.7) длины вектора и (8.8) угла между векторами через скалярное произведение и свойства скалярного произведения, имеем

1)

2)

3) ;

4) ; . ►

8.2.2. Дан вектор . 1) Найти его длину; 2) нормировать вектор; 3) указать направляющие косинусы вектора.

◄ 1) Длина вектора : .

2) Нормируем вектор: – орт вектора .

3) Согласно (8.11) направляющие косинусы вектора :

, , и (рис. 8.2). ►

 

8.2.3. Даны векторы и в базисе . Найти:

1) скалярное произведение ; 2) угол между векторами ; 3) проекции и .

◄ 1) ;

2) , ;

, рад;

3) , . ►

8.2.4. В треугольнике , где , , , найти длины сторон, угол , длину медианы (рис. 8.4).

A
B
L t1UKDXHTtVBSKC5JzEtJzMnPS7VVqkwtVrK34+UCAAAA//8DAFBLAwQUAAYACAAAACEAhmdcMscA AADcAAAADwAAAGRycy9kb3ducmV2LnhtbESPQUvDQBSE74X+h+UJvbWbtigldlukKnhQW9sKentm n0kw+zbsvqbx37uC4HGYmW+Y5bp3jeooxNqzgekkA0VceFtzaeB4uB8vQEVBtth4JgPfFGG9Gg6W mFt/5hfq9lKqBOGYo4FKpM21jkVFDuPEt8TJ+/TBoSQZSm0DnhPcNXqWZVfaYc1pocKWNhUVX/uT M9C8xfD4kcl7d1s+yW6rT69302djRhf9zTUooV7+w3/tB2tgPruE3zPpCOjVDwAAAP//AwBQSwEC LQAUAAYACAAAACEA8PeKu/0AAADiAQAAEwAAAAAAAAAAAAAAAAAAAAAAW0NvbnRlbnRfVHlwZXNd LnhtbFBLAQItABQABgAIAAAAIQAx3V9h0gAAAI8BAAALAAAAAAAAAAAAAAAAAC4BAABfcmVscy8u cmVsc1BLAQItABQABgAIAAAAIQAzLwWeQQAAADkAAAAQAAAAAAAAAAAAAAAAACkCAABkcnMvc2hh cGV4bWwueG1sUEsBAi0AFAAGAAgAAAAhAIZnXDLHAAAA3AAAAA8AAAAAAAAAAAAAAAAAmAIAAGRy cy9kb3ducmV2LnhtbFBLBQYAAAAABAAEAPUAAACMAwAAAAA= " filled="f" stroked="f" strokeweight=".5pt">
C
M
Рис. 8.4
◄ 1) Найдем координаты векторов , и по формуле (7.1), то есть, вычитая из координат концов векторов координаты их начал: , и .

2) Длины сторон находим как длины соответствующих векторов по формуле (8.7): , и .

3) Так как , то угол – прямой.

4) Так как – середина , то и . Тогда .

 

8.2.5. Даны координаты точек на плоскости: , , , . Убедиться в том, что четырехугольник ABCD является квадратом.

A
B
C
D
O
x
y
Рис. 8.5
◄ На рисунке 8.5 изображено расположение точек на плоскости.

1. Используя формулу (7.1), то есть, вычитая из координат концов векторов координаты их начал, найдем координаты векторов , и .

2. . Значит, ABCD – параллелограмм.

3. Скалярное произведение векторов и найдем по формуле (8.6), в которой надо опустить третье слагаемое: . Следовательно, . Таким образом, параллелограмм ABCD является прямоугольником.

4. Длины векторов найдем по формуле (8.7), где следует опустить третье слагаемое: , . Следовательно, прямоугольник ABCD является квадратом. ►

 

8.2.6. Найти значения параметра λ, при которых векторы и ортогональны.

◄ Вычислим скалярное произведение и потребуем выполнения условия ортогональности векторов (8.9):

При векторы и ортогональны, причем это единственное значение λ, при котором . ►

8.2.7. Найти координаты вектора в базисе , если , , , .

◄ Из (8.12), учитывая условие , находим

.

По формулам (8.11) находим координаты вектора

, , , . ►

 







Date: 2015-09-18; view: 731; Нарушение авторских прав



mydocx.ru - 2015-2026 year. (1.116 sec.) Все материалы представленные на сайте исключительно с целью ознакомления читателями и не преследуют коммерческих целей или нарушение авторских прав - Пожаловаться на публикацию