Главная Случайная страница


Полезное:

Как сделать разговор полезным и приятным Как сделать объемную звезду своими руками Как сделать то, что делать не хочется? Как сделать погремушку Как сделать так чтобы женщины сами знакомились с вами Как сделать идею коммерческой Как сделать хорошую растяжку ног? Как сделать наш разум здоровым? Как сделать, чтобы люди обманывали меньше Вопрос 4. Как сделать так, чтобы вас уважали и ценили? Как сделать лучше себе и другим людям Как сделать свидание интересным?


Категории:

АрхитектураАстрономияБиологияГеографияГеологияИнформатикаИскусствоИсторияКулинарияКультураМаркетингМатематикаМедицинаМенеджментОхрана трудаПравоПроизводствоПсихологияРелигияСоциологияСпортТехникаФизикаФилософияХимияЭкологияЭкономикаЭлектроника






Задачи для самостоятельного решения. В задачах 6.3.1-6.3.2дана матрица линейного оператора





В задачах 6.3.1-6.3.2дана матрица линейного оператора. Записать равенство в координатной форме.

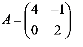
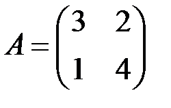
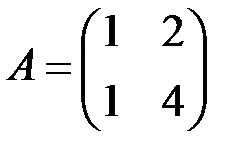
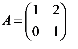
6.3.1. , 6.3.2. .

 

В задачах 6.3.3-6.3.6 найти вектор , в который линейный оператор преобразует вектор .

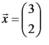
6.3.3. , . 6.3.4. , .
6.3.5. , . 6.3.6. , .

6.3.7. Найти линейный оператор (матрицу) , преобразующий вектор в вектор , а вектор в вектор .


6.3.8. Найти вектор , образ которого при действии линейного оператора – вектор .

Указание. Надо решить матричное уравнение относительно .

6.3.9. Для линейных операторов и найти произведение операторов , обратный оператор и привести их координатную запись.

В задачах 6.3.10-6.3.12найти собственные значения и собственные векторы линейных операторов.

6.3.10. . 6.3.11. . 6.3.12. .

 

ДЕКАРТОВА СИСТЕМА КООРДИНАТ

 

Основные понятия и формулы

 

Прямоугольная декартова система координат на плоскости (соответственно в пространстве) состоит из фиксированной точки Oначала координат и фиксированного ортонормированного базиса (соответственно ). Прямые, проходящие через начало координат с направлением на них, задаваемым векторами и называются, соответственно, осями координат и (или и ).

Координатами точки M в данной системе координат называются координаты радиус-вектора в выбранном базисе:

Рис.7.1

(рис. 7.1), (рис.7.2).

Рис. 7.2
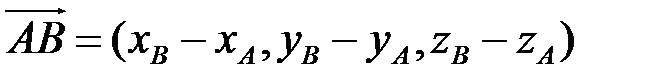
Хотя в принятом нами определении понятие координат вектора первично, а понятие координат точки вторично, во многих задачах геометрии изначально известны только координаты точек. Если известны координаты начала A и конца B вектора, то координаты вектора находим, вычитая из координат конца B вектора соответствующие координаты его начала A:

 

. (7.1)

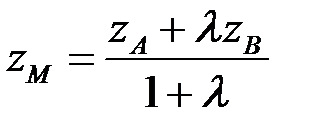
Координаты точки , делящей отрезок , , , в отношении находятся по формулам

 

, , . (7.2)

 

В частности, координаты середины M отрезка являются полусуммами координат его концов:

 

, , . (7.3)

 

В случае плоскости в формулах (7.1)–(7.3) остаются только координаты и .

 







Date: 2015-09-18; view: 628; Нарушение авторских прав



mydocx.ru - 2015-2026 year. (0.624 sec.) Все материалы представленные на сайте исключительно с целью ознакомления читателями и не преследуют коммерческих целей или нарушение авторских прав - Пожаловаться на публикацию