Главная Случайная страница


Полезное:

Как сделать разговор полезным и приятным Как сделать объемную звезду своими руками Как сделать то, что делать не хочется? Как сделать погремушку Как сделать так чтобы женщины сами знакомились с вами Как сделать идею коммерческой Как сделать хорошую растяжку ног? Как сделать наш разум здоровым? Как сделать, чтобы люди обманывали меньше Вопрос 4. Как сделать так, чтобы вас уважали и ценили? Как сделать лучше себе и другим людям Как сделать свидание интересным?


Категории:

АрхитектураАстрономияБиологияГеографияГеологияИнформатикаИскусствоИсторияКулинарияКультураМаркетингМатематикаМедицинаМенеджментОхрана трудаПравоПроизводствоПсихологияРелигияСоциологияСпортТехникаФизикаФилософияХимияЭкологияЭкономикаЭлектроника






Собственные значения и собственные векторы





Собственным вектором линейного оператора (матрицы)

,

соответствующим собственному значению называется ненулевой вектор такой, что

. (6.2)

 

Таким образом, линейный оператор преобразует свой собственный вектор в вектор ему коллинеарный (сонаправленный с при и противоположно направленный при ). Любой ненулевой вектор , коллинеарный собственному вектору , также является собственным, соответствующим тому же собственному значению :

.

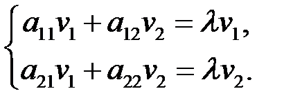
В координатах равенство (6.2) имеет вид

 

(6.3)

 

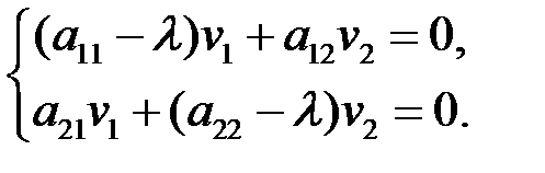
Это система линейных уравнений относительно координат , собственного вектора. Она имеет ненулевое решение, если определитель системы равен нулю:

 

. (6.4)

 

Таким образом, для нахождения собственных значений получили квадратное уравнение (6.4). Оно называется характеристическим уравнением. Найдя из него собственное значение , надо подставить его в (6.3). Решив полученную систему линейных уравнений, найдем координаты и собственного вектора, соответствующего собственному значению .

Если характеристическое уравнение не имеет действительных корней, то линейный оператор не имеет собственных векторов. Например, их нет у оператора поворота на угол , .

Аналогично, формула (6.2) определяет собственный вектор , соответствующий собственному значению , для квадратной матрицы -го порядка (линейного оператора в ) при любом . Собственные значения находятся из характеристического уравнения

 

.

 

Для каждого собственного значения координаты ,…, соответствующего собственного вектора находятся из системы линейных уравнений

 







Date: 2015-09-18; view: 506; Нарушение авторских прав



mydocx.ru - 2015-2026 year. (1.061 sec.) Все материалы представленные на сайте исключительно с целью ознакомления читателями и не преследуют коммерческих целей или нарушение авторских прав - Пожаловаться на публикацию