Главная Случайная страница


Полезное:

Как сделать разговор полезным и приятным Как сделать объемную звезду своими руками Как сделать то, что делать не хочется? Как сделать погремушку Как сделать так чтобы женщины сами знакомились с вами Как сделать идею коммерческой Как сделать хорошую растяжку ног? Как сделать наш разум здоровым? Как сделать, чтобы люди обманывали меньше Вопрос 4. Как сделать так, чтобы вас уважали и ценили? Как сделать лучше себе и другим людям Как сделать свидание интересным?


Категории:

АрхитектураАстрономияБиологияГеографияГеологияИнформатикаИскусствоИсторияКулинарияКультураМаркетингМатематикаМедицинаМенеджментОхрана трудаПравоПроизводствоПсихологияРелигияСоциологияСпортТехникаФизикаФилософияХимияЭкологияЭкономикаЭлектроника






Дифракционная расходимость излучения





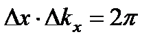
Рассмотрим, для определенности, дифракцию плоской волны на щели. Согласно спектральным представлениям, ограничение поперечного размера светового пучка приводит к уширению его углового спектра. При этом связь между поперечным размером пучка D x и шириной углового спектра D kx выражается формулой: ,

которая вполне аналогична формуле D t D w = 2 p, связывающей между собой длительность импульса D t и ширину частотного спектра D w. Пространственная частота kx выражается через угол, показанный на рис. 4.36 следующим образом: kx = k sin q, где k = 2 p / l – волновое число, l – длина световой волны.

Р и с. 4.36

Для малых углов q можно, следовательно, записать kx = kq и D kx = k D q, где D q – ширина углового спектра или угловая расходимость пучка. Пусть ширина щели D x = d. Тогда из формулы следует, что

в соответствии с формулой, полученной раньше. Таким образом, в спектральной теории оценка дифракционной расходимости излучения может быть получена как следствие фундаментального соотношения между поперечным размером пучка и шириной его углового спектра.







Date: 2015-08-06; view: 1657; Нарушение авторских прав



mydocx.ru - 2015-2026 year. (0.261 sec.) Все материалы представленные на сайте исключительно с целью ознакомления читателями и не преследуют коммерческих целей или нарушение авторских прав - Пожаловаться на публикацию