Главная Случайная страница


Полезное:

Как сделать разговор полезным и приятным Как сделать объемную звезду своими руками Как сделать то, что делать не хочется? Как сделать погремушку Как сделать так чтобы женщины сами знакомились с вами Как сделать идею коммерческой Как сделать хорошую растяжку ног? Как сделать наш разум здоровым? Как сделать, чтобы люди обманывали меньше Вопрос 4. Как сделать так, чтобы вас уважали и ценили? Как сделать лучше себе и другим людям Как сделать свидание интересным?


Категории:

АрхитектураАстрономияБиологияГеографияГеологияИнформатикаИскусствоИсторияКулинарияКультураМаркетингМатематикаМедицинаМенеджментОхрана трудаПравоПроизводствоПсихологияРелигияСоциологияСпортТехникаФизикаФилософияХимияЭкологияЭкономикаЭлектроника






Распределение света в фокальной плоскости линзы





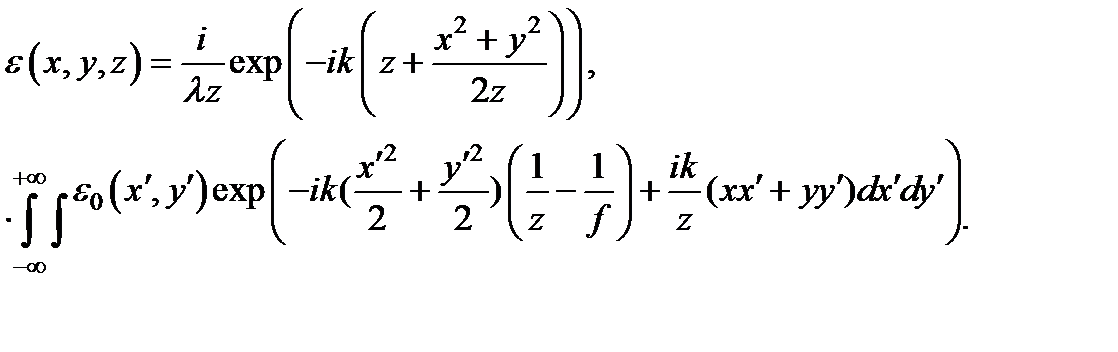
Вычислим теперь распределение интенсивности света в фокальной плоскости линзы. Пусть на линзу с фокусным расстоянием f падает монохроматическая световая волна с комплексной амплитудой e 0 = e 0(x,y). Тогда комплексная амплитуда волны на выходе из линзы есть . Далее световая волна распространяется в соответствии с законами дифракции. Используя дифракционный интеграл в приближении Френеля можно найти распределение амплитуды поля на любом расстоянии z от линзы

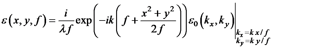
В частности, полагая z = f, найдём распределение поля в фокальной плоскости линзы

или

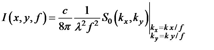
,

Где .

Формула показывает, что в фокальной плоскости линзы формируется распределение поля, пропорциональное пространственному фурье-образу поля, падающего на линзу. Распределение интенсивности света в фокальной плоскости имеет форму углового спектра излучения падающего на линзу, а именно .

Тот факт, что в фокальной плоскости образуется распределение интенсивности света, имеющее форму пространственного спектра поля, падающего на линзу, можно использовать для получения фурье-спектров оптических изображений. Для этого достаточно поместить транспарант с изображением непосредственно перед линзой, направить на него пучок когерентного света и поместить фотопластинку в задней фокальной плоскости линзы. Записанное на фотопластинке изображение будет иметь форму пространственной спектральной плотности изображения на транспаранте.







Date: 2015-08-06; view: 1166; Нарушение авторских прав



mydocx.ru - 2015-2026 year. (0.534 sec.) Все материалы представленные на сайте исключительно с целью ознакомления читателями и не преследуют коммерческих целей или нарушение авторских прав - Пожаловаться на публикацию