Главная Случайная страница


Полезное:

Как сделать разговор полезным и приятным Как сделать объемную звезду своими руками Как сделать то, что делать не хочется? Как сделать погремушку Как сделать так чтобы женщины сами знакомились с вами Как сделать идею коммерческой Как сделать хорошую растяжку ног? Как сделать наш разум здоровым? Как сделать, чтобы люди обманывали меньше Вопрос 4. Как сделать так, чтобы вас уважали и ценили? Как сделать лучше себе и другим людям Как сделать свидание интересным?


Категории:

АрхитектураАстрономияБиологияГеографияГеологияИнформатикаИскусствоИсторияКулинарияКультураМаркетингМатематикаМедицинаМенеджментОхрана трудаПравоПроизводствоПсихологияРелигияСоциологияСпортТехникаФизикаФилософияХимияЭкологияЭкономикаЭлектроника






Общая интерференционная схема





Основной принцип любой интерференционной схемы по получению когерентных световых волн от обычных источников состоит в следующем: волну, излучаемую одним источником света, разделяют тем или иным способом на две части и затем накладывают их друг на друга подходящим способом. Образовавшиеся после разделения волны во всех схемах можно представить как бы исходящими из двух точечных источников S 1 и S 2 (действительных или мнимых - это не существенно). Поэтому общий подход к интерпретации получаемых результатов будет единым.

Если разность хода этих волн от источника до точки наблюдения не превышает некоторой характерной длины, то случайные изменения амплитуды и фазы световых колебаний в двух волнах происходят согласованно (когерентно) и можно будет наблюдать интерференционную картину.

Рассмотрим две волны, исходящие из когерентных источников S 1 и S 2 (рис.3. 2)

Р и с. 3.2

В области, где эти волны перекрываются - ее называют зоной интерференции - должна возникать система чередующихся максимумов и минимумов освещенности, которую можно наблюдать на экране.

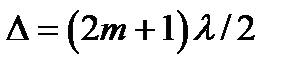
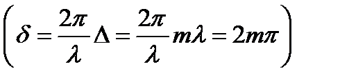
Обозначим разность расстояний r 2 и r 1 от источников до интересующей нас точки М как D = r 2r 1. Эту величину называют разностью хода. Если разность хода равна целому числу длин волн, т.е.:

, ,

где m - порядок интерференции, то колебания, возбуждаемые в точке обеими волнами, будут происходить в фазе .

Таким образом, условие есть условие возникновения интерференционных максимумов.

В точках, для которых , а разность фаз , образуются минимумы.

В случае, когда волны от источников распространяются не в вакууме, а в среде с показателем преломления n, в формуле под D следует понимать не геометрическую, а оптическую разность хода интерферирующих волн: D = n (r 2r 1).

При этом l по-прежнему длина волны в вакууме.







Date: 2015-08-06; view: 1834; Нарушение авторских прав



mydocx.ru - 2015-2026 year. (1.011 sec.) Все материалы представленные на сайте исключительно с целью ознакомления читателями и не преследуют коммерческих целей или нарушение авторских прав - Пожаловаться на публикацию