Главная Случайная страница


Полезное:

Как сделать разговор полезным и приятным Как сделать объемную звезду своими руками Как сделать то, что делать не хочется? Как сделать погремушку Как сделать так чтобы женщины сами знакомились с вами Как сделать идею коммерческой Как сделать хорошую растяжку ног? Как сделать наш разум здоровым? Как сделать, чтобы люди обманывали меньше Вопрос 4. Как сделать так, чтобы вас уважали и ценили? Как сделать лучше себе и другим людям Как сделать свидание интересным?


Категории:

АрхитектураАстрономияБиологияГеографияГеологияИнформатикаИскусствоИсторияКулинарияКультураМаркетингМатематикаМедицинаМенеджментОхрана трудаПравоПроизводствоПсихологияРелигияСоциологияСпортТехникаФизикаФилософияХимияЭкологияЭкономикаЭлектроника






Равенство Парсеваля





Докажем одну важную формулу, относящуюся к спектральной плотности, и позволяющую глубже понять ее физический смысл. В теории спектральных разложений эта формула носит название "равенство Парсеваля". Она имеет вид

Для доказательства воспользуемся интегралами Фурье. Получим

Напомним, что звездочка обозначает комплексное сопряжение.

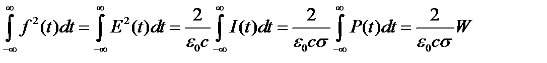
Итак, равенство Парсеваля доказано. Применительно к оптике это соотношение имеет простой физический смысл. Если под процессом f(t) понимать напряженность электрического поля световой волны в некоторой фиксированной точке пространства, то величина

оказывается пропорциональной энергии светового импульса, прошедшей через площадку единичной площади в окрестности данной точки. С другой стороны, согласно равенству Парсеваля, та же самая величина (энергия) равна инте­гралу по всем частотам от спектральной плотности поля . Это означает, что спектральная плотность описывает распределение энергии светового импульса по частотам. В этом состоит физический смысл данной характеристики излучения.







Date: 2015-08-06; view: 2843; Нарушение авторских прав



mydocx.ru - 2015-2026 year. (0.417 sec.) Все материалы представленные на сайте исключительно с целью ознакомления читателями и не преследуют коммерческих целей или нарушение авторских прав - Пожаловаться на публикацию